中国农学通报 ›› 2025, Vol. 41 ›› Issue (30): 79-89.doi: 10.11924/j.issn.1000-6850.casb2025-0263
收稿日期:2025-03-26
修回日期:2025-08-07
出版日期:2025-10-25
发布日期:2025-11-04
通讯作者:
作者简介:向贵琴,女,2003年出生,重庆彭水人,研究生,研究方向:土壤肥力与养分调控。通信地址:832003 新疆维吾尔自治区石河子市北五路 石河子大学北苑新区,E-mail:xianggq2025@163.com。
基金资助:
XIANG Guiqin(
), YE Yang, ZHANG Nan, GUO Huijuan(
)
Received:2025-03-26
Revised:2025-08-07
Published:2025-10-25
Online:2025-11-04
摘要:
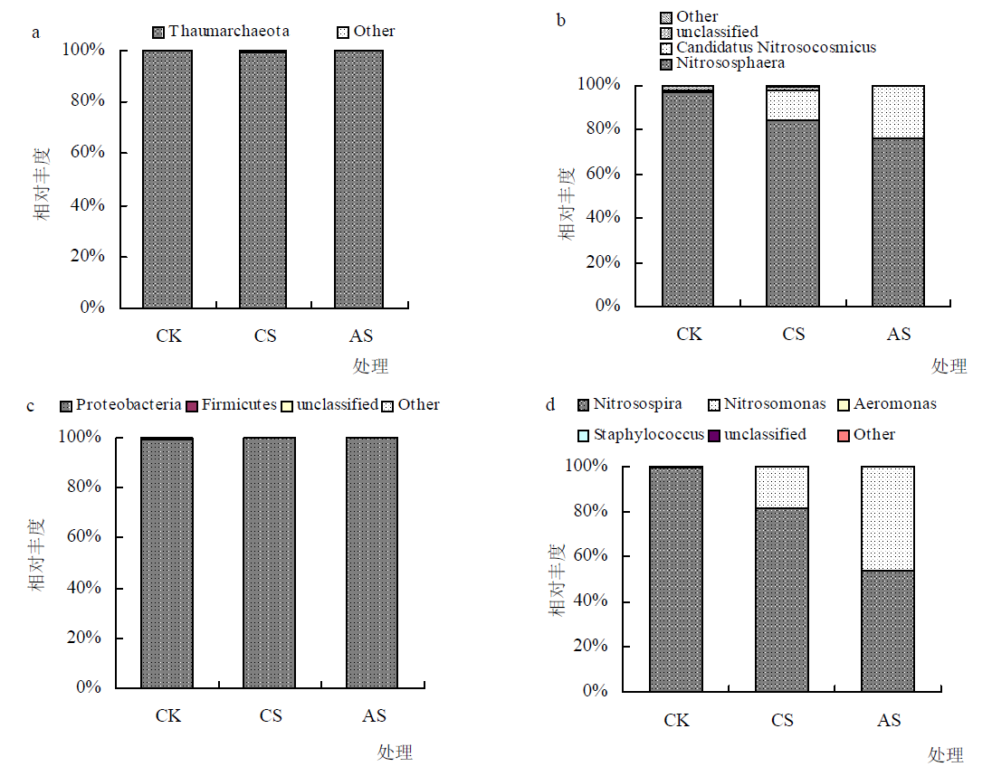
新疆干旱区盐碱地面积大、分布广,其特殊的理化属性导致土壤肥力状况低下,且盐基离子会干扰氮素转化。目前,盐碱环境对氨氧化细菌等硝化关键微生物的影响尚不明确,制约了对该区域氮素转化机制的深入研究及盐碱地改良工作的开展。本研究通过土柱模拟试验,旨在探究NaCl和Na2CO3+NaHCO3胁迫对干旱区灰漠土土壤氨氧化古菌(AOA)和氨氧化细菌(AOB)群落多样性的影响。试验设置了非盐(碱)化(CK)、中度盐化(CS)和中度碱化(AS) 3个处理,评估了盐碱胁迫对棉花生长、土壤理化性质以及AOA和AOB的丰度和群落结构的影响。结果表明:盐碱胁迫显著降低了棉花株高和干物质重、土壤NO3-N含量和潜在硝化速率(PNR);然而,土壤含水量、盐分、pH和NH4-N含量显著增加。与对照组相比,盐碱胁迫处理AOA和AOB的基因拷贝数均显著降低,且AOA/AOB比值也显著降低。此外,在所有处理下,AOB的基因拷贝数均显著高于AOA。PNR与AOA丰度和AOB丰度均呈显著正相关关系。不同处理下AOB群落操作分类单元(OTUs)的数量均显著高于AOA,碱胁迫显著降低了AOB群落的OTU数量,而盐胁迫显著降低了AOB群落的辛普森指数和香浓指数,碱胁迫显著增加了AOB群落的辛普森指数。盐胁迫显著降低了AOA和AOB的Pielou_e均匀度指数,碱胁迫显著降低了AOA和AOB的Chao1丰富度指数,但是显著增加了其Pielou_e均匀度指数。在门水平上,AOA群落的优势菌门为Thaumarchaeota;AOB群落的优势菌门为Proteobacteria;在属水平上,AOA优势菌属为Candidatus Nitrosocaldus和Nitrososphaera,AOB优势菌属为Nitrosospira和Nitrosomonas。盐碱胁迫显著增加了Candidatus Nitrosocaldus和Nitrosomonas的相对丰度,但是显著降低了Nitrososphaera和Nitrosospira的相对丰度。冗余分析显示:AOA群落结构的改变主要驱动因子为土壤含水量和pH,而AOB群落结构的改变主要驱动因子为pH。综上,AOA和AOB共同参与了灰漠土的硝化作用,土壤pH是影响其丰度、生长及群落结构的主导环境因子。
向贵琴, 叶扬, 张楠, 郭慧娟. 盐碱胁迫对灰漠土氨氧化微生物丰度和群落多样性的影响[J]. 中国农学通报, 2025, 41(30): 79-89.
XIANG Guiqin, YE Yang, ZHANG Nan, GUO Huijuan. Effects of Saline and Alkaline Stress on Abundance and Diversity of Community of Ammonia Oxidizing Microorganisms in Gray Desert Soil[J]. Chinese Agricultural Science Bulletin, 2025, 41(30): 79-89.
| 处理 | 土壤含水量/% | 电导率EC/(ds/m) | pH | 全氮TN/(g/kg) | 总碳TC/(g/kg) | 铵态氮NH4-N/(mg/kg) | 硝态氮NO3-N/(mg/kg) |
|---|---|---|---|---|---|---|---|
| CK | 11.88±1.472c | 0.33±0.067c | 8.15±0.046c | 0.59±0.036b | 14.75±0.621b | 7.55±0.415c | 145.30±1.486a |
| CS | 17.18±1.814a | 1.56±0.115a | 8.49±0.035b | 0.58±0.021b | 14.44±0.191b | 14.91±0.663b | 133.55±1.440b |
| AS | 14.0±1.4402b | 0.66±0.010b | 9.79±0.152a | 0.69±0.021a | 16.99±0.995a | 23.75±0.524a | 121.96±1.842c |
| 处理 | 土壤含水量/% | 电导率EC/(ds/m) | pH | 全氮TN/(g/kg) | 总碳TC/(g/kg) | 铵态氮NH4-N/(mg/kg) | 硝态氮NO3-N/(mg/kg) |
|---|---|---|---|---|---|---|---|
| CK | 11.88±1.472c | 0.33±0.067c | 8.15±0.046c | 0.59±0.036b | 14.75±0.621b | 7.55±0.415c | 145.30±1.486a |
| CS | 17.18±1.814a | 1.56±0.115a | 8.49±0.035b | 0.58±0.021b | 14.44±0.191b | 14.91±0.663b | 133.55±1.440b |
| AS | 14.0±1.4402b | 0.66±0.010b | 9.79±0.152a | 0.69±0.021a | 16.99±0.995a | 23.75±0.524a | 121.96±1.842c |
| 处理 | AOA基因拷贝数/(×106 copies/g 干土) | AOB基因拷贝数/(×107 copies/g 干土) | AOA/AOB |
|---|---|---|---|
| CK | 1.45±0.406a | 5.32±0.717a | 0.0273±0.002a |
| CS | 0.36±0.079b | 4.36±0.759b | 0.0084±0.001c |
| AS | 0.43±0.73b | 3.83±0.558c | 0.0113±0.001b |
| 处理 | AOA基因拷贝数/(×106 copies/g 干土) | AOB基因拷贝数/(×107 copies/g 干土) | AOA/AOB |
|---|---|---|---|
| CK | 1.45±0.406a | 5.32±0.717a | 0.0273±0.002a |
| CS | 0.36±0.079b | 4.36±0.759b | 0.0084±0.001c |
| AS | 0.43±0.73b | 3.83±0.558c | 0.0113±0.001b |
| 氨氧化 微生物 | 处理 | 覆盖度 | 序列数 | 操作分类单元/ OTUs | 辛普森 指数 | 香浓 指数 | Chao1 指数 | Pielou_e 指数 |
|---|---|---|---|---|---|---|---|---|
| AOA | CK | 0.9998±0.001a | 37103±571b | 31±1.53 a | 0.59±0.056 b | 2.11±0.176 ab | 42.53±1.59 a | 0.42±0.012 b |
| CS | 0.9998±0.001a | 40667±822a | 34±5.69 a | 0.53±0.022 b | 1.82±0.080b | 43.60±4.54 a | 0.36±0.032 c | |
| AS | 0.9999±0.001a | 40575±478a | 33±3.06 a | 0.71±0.033 a | 2.53±0.029 a | 32.41±1.55 b | 0.51±0.039 a | |
| AOB | CK | 0.9954±0.001a | 42165±899a | 324±17.06 a | 0.66±0.006 b | 2.58±0.044 a | 491.05±19.3a | 0.31±0.007 b |
| CS | 0.9948±0.001a | 35077±143b | 312±1.15 a | 0.54±0.029 c | 1.87±0.061 b | 545.12±34.2 a | 0.23±0.007 c | |
| AS | 0.9978±0.001a | 40509±606a | 165±9.61 c | 0.74±0.023 a | 2.62±0.104 a | 256.93±17.2b | 0.36±0.024 a |
| 氨氧化 微生物 | 处理 | 覆盖度 | 序列数 | 操作分类单元/ OTUs | 辛普森 指数 | 香浓 指数 | Chao1 指数 | Pielou_e 指数 |
|---|---|---|---|---|---|---|---|---|
| AOA | CK | 0.9998±0.001a | 37103±571b | 31±1.53 a | 0.59±0.056 b | 2.11±0.176 ab | 42.53±1.59 a | 0.42±0.012 b |
| CS | 0.9998±0.001a | 40667±822a | 34±5.69 a | 0.53±0.022 b | 1.82±0.080b | 43.60±4.54 a | 0.36±0.032 c | |
| AS | 0.9999±0.001a | 40575±478a | 33±3.06 a | 0.71±0.033 a | 2.53±0.029 a | 32.41±1.55 b | 0.51±0.039 a | |
| AOB | CK | 0.9954±0.001a | 42165±899a | 324±17.06 a | 0.66±0.006 b | 2.58±0.044 a | 491.05±19.3a | 0.31±0.007 b |
| CS | 0.9948±0.001a | 35077±143b | 312±1.15 a | 0.54±0.029 c | 1.87±0.061 b | 545.12±34.2 a | 0.23±0.007 c | |
| AS | 0.9978±0.001a | 40509±606a | 165±9.61 c | 0.74±0.023 a | 2.62±0.104 a | 256.93±17.2b | 0.36±0.024 a |
| 香浓 指数 | 辛普森 指数 | Chao1 指数 | Pielou_e 指数 | |
|---|---|---|---|---|
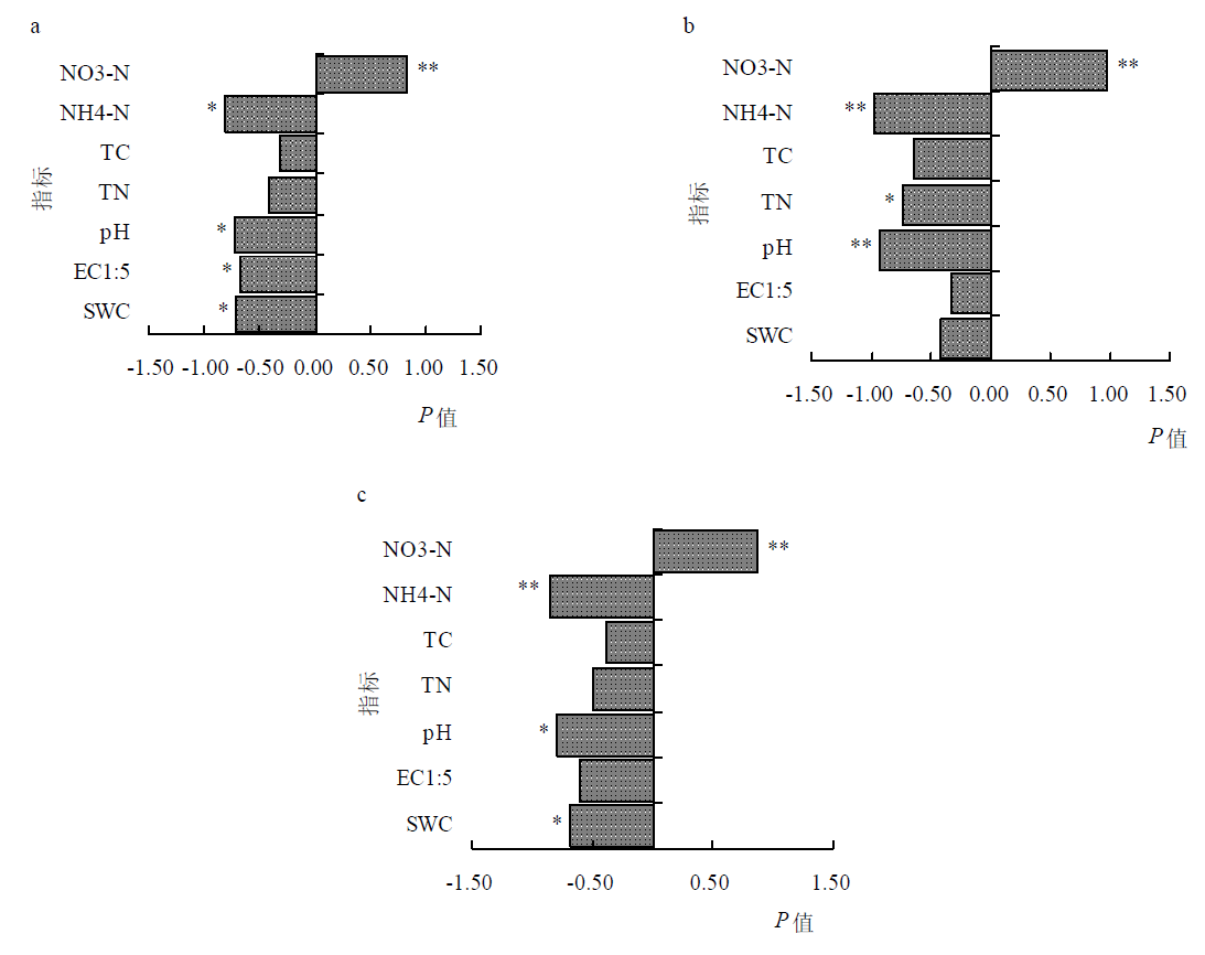
| 土壤含水量 | -0.324 | -0.17 | 0.011 | -0.455 |
| 电导率 | -0.646 | -0.575 | 0.293 | -0.676* |
| pH | 0.701* | 0.702* | -0.847** | 0.645 |
| 全氮 | 0.834** | 0.822** | -0.935** | 0.850** |
| 总碳 | 0.737* | 0.655 | -0.769* | 0.697* |
| 铵态氮 | 0.599 | 0.600 | -0.756* | 0.492 |
| 硝态氮 | -0.533 | -0.546 | 0.717* | -0.421 |
| 香浓 指数 | 辛普森 指数 | Chao1 指数 | Pielou_e 指数 | |
|---|---|---|---|---|
| 土壤含水量 | -0.324 | -0.17 | 0.011 | -0.455 |
| 电导率 | -0.646 | -0.575 | 0.293 | -0.676* |
| pH | 0.701* | 0.702* | -0.847** | 0.645 |
| 全氮 | 0.834** | 0.822** | -0.935** | 0.850** |
| 总碳 | 0.737* | 0.655 | -0.769* | 0.697* |
| 铵态氮 | 0.599 | 0.600 | -0.756* | 0.492 |
| 硝态氮 | -0.533 | -0.546 | 0.717* | -0.421 |
| 香浓指数 | 辛普森指数 | Chao1指数 | Pielou_e指数 | |
|---|---|---|---|---|
| 土壤含水量 | -0.782* | -0.508 | 0.267 | -0.563 |
| 电导率 | -0.963** | -0.822** | 0.509 | -0.825** |
| pH | 0.187 | 0.498 | -0.845** | 0.522 |
| 全氮 | 0.531 | 0.763* | -0.923** | 0.777* |
| 总碳 | 0.547 | 0.681* | -0.864** | 0.646 |
| 铵态氮 | 0.084 | 0.375 | -0.772* | 0.386 |
| 硝态氮 | 0.063 | -0.262 | 0.687* | -0.279 |
| 香浓指数 | 辛普森指数 | Chao1指数 | Pielou_e指数 | |
|---|---|---|---|---|
| 土壤含水量 | -0.782* | -0.508 | 0.267 | -0.563 |
| 电导率 | -0.963** | -0.822** | 0.509 | -0.825** |
| pH | 0.187 | 0.498 | -0.845** | 0.522 |
| 全氮 | 0.531 | 0.763* | -0.923** | 0.777* |
| 总碳 | 0.547 | 0.681* | -0.864** | 0.646 |
| 铵态氮 | 0.084 | 0.375 | -0.772* | 0.386 |
| 硝态氮 | 0.063 | -0.262 | 0.687* | -0.279 |
| [1] |
|
| [2] |
杨劲松, 姚荣江, 王相平, 等. 防止土壤盐渍化,提高土壤生产力[J]. 科学, 2021, 73(6):2,4,30-34.
|
| [3] |
doi: 10.1016/j.copbio.2013.09.003 pmid: 24863892 |
| [4] |
|
| [5] |
|
| [6] |
高敬文, 郭子燕, 王峰. 盐碱胁迫下作物氮素吸收利用的响应机理及调控措施研究进展[J]. 中国农学通报, 2024, 40(24):44-50.
doi: 10.11924/j.issn.1000-6850.casb2023-0828 |
| [7] |
|
| [8] |
|
| [9] |
|
| [10] |
doi: 10.1111/1462-2920.13743 pmid: 28371143 |
| [11] |
李红强, 姚荣江, 杨劲松, 等. 盐渍化对农田氮素转化过程的影响机制和增效调控途径[J]. 应用生态学报, 2020, 31(11):3915-3924.
doi: 10.13287/j.1001-9332.202011.023 |
| [12] |
杨易, 黄立华, 肖扬, 等. 苏打盐碱化稻田土壤氮素矿化和硝化特征及其影响因子[J]. 植物营养与肥料学报, 2022, 28(10):1816-1827.
|
| [13] |
|
| [14] |
|
| [15] |
|
| [16] |
李亚威, 徐俊增, 卫琦, 等. 不同水盐条件下盐渍土硝化过程特征[J]. 排灌机械工程学报, 2018, 36(9): 909-913.
|
| [17] |
|
| [18] |
|
| [19] |
doi: 10.1038/nrmicro.2018.9 pmid: 29398704 |
| [20] |
|
| [21] |
|
| [22] |
|
| [23] |
doi: 10.1007/s00253-015-6804-x pmid: 26219499 |
| [24] |
doi: 10.1007/s00253-023-12761-4 pmid: 37702790 |
| [25] |
鲍士旦. 土壤农化分析[M]. 北京: 中国农业出版社, 1981.
|
| [26] |
pmid: 16043309 |
| [27] |
|
| [28] |
pmid: 14758520 |
| [29] |
马丽娟, 张慧敏, 侯振安, 等. 长期咸水滴灌对土壤氨氧化微生物丰度和群落结构的影响[J]. 农业环境科学学报, 2019, 38(12):2797-2807.
|
| [30] |
陈竹, 郭岩彬, 孟凡乔, 等. 施肥方式对干旱半干旱地区土壤氨氧化微生物数量和群落的影响[J]. 生态学报, 2021, 41(11):4577-4585.
|
| [31] |
|
| [32] |
肖雯丽, 王含瑞, 王梦亮, 等. 盐碱胁迫下植物响应机制的研究进展[J]. 中国农学通报, 2024, 40(33):78-85.
doi: 10.11924/j.issn.1000-6850.casb2023-0775 |
| [33] |
郭家鑫, 鲁晓宇, 陶一凡, 等. 盐碱胁迫对棉花生长和养分吸收的影响[J]. 干旱地区农业研究, 2022, 40(4):23-32,59.
|
| [34] |
|
| [35] |
|
| [36] |
|
| [37] |
doi: 10.3389/fmicb.2018.00116 pmid: 29456526 |
| [38] |
|
| [39] |
|
| [40] |
|
| [41] |
|
| [42] |
doi: 10.1016/j.micres.2012.09.005 pmid: 23083746 |
| [43] |
|
| [44] |
|
| [45] |
|
| [46] |
|
| [47] |
李晨华, 贾仲君, 唐立松, 等. 不同施肥模式对绿洲农田土壤微生物群落丰度与酶活性的影响[J]. 土壤学报, 2012, 49(3):567-574.
|
| [48] |
何园, 胡文革, 马得草, 等. 艾比湖湿地盐节木根际土壤氨氧化微生物多样性和丰度及其与环境因子的相关性分析[J]. 环境科学学报, 2017, 37(5):1967-1975.
|
| [49] |
doi: 10.1021/acs.jafc.1c00210 pmid: 33703896 |
| [50] |
|
| [51] |
doi: 10.1007/s00248-024-02442-8 pmid: 39482450 |
| [52] |
doi: 10.1042/EBC20220194 pmid: 37449414 |
| [53] |
|
| [54] |
|
| [1] | 朱培灿, 刘以安, 周芳雨, 刘博. 盐碱交互胁迫对河蚬的毒性作用[J]. 中国农学通报, 2025, 41(6): 159-164. |
| [2] | 王晨龙, 闵杰, 梁睿, 谭熊宇, 王烁, 吾木提·艾山江. 水稻根际土壤微生物细菌群落组成及多样性分析[J]. 中国农学通报, 2025, 41(4): 84-93. |
| [3] | 张守梅, 邵雪花. 印楝素对橘小实蝇肠道微生物群落及代谢功能的影响[J]. 中国农学通报, 2025, 41(28): 122-130. |
| [4] | 顾鑫, 任翠梅, 冯鹏, 王丽娜, 张宏宇, 李娜, 宋敏超, 王迪. 不同改良剂对苏打盐碱地土壤细菌群落结构及燕麦生长的影响[J]. 中国农学通报, 2025, 41(21): 107-113. |
| [5] | 张梦媛, 王思玉, 徐凤, 刘一周, 管延安, 陈二影, 黎飞飞, 杨延兵, 秦岭. 外源褪黑素对盐碱胁迫下谷子萌发和幼苗抗氧化生理的影响[J]. 中国农学通报, 2025, 41(20): 60-66. |
| [6] | 唐旭, 田辉, 张浩冉, 柴国华, 吴秀文. 外源L-天门冬氨酸纳米钙对镉污染土壤理化性质及微生物群落分布的影响[J]. 中国农学通报, 2025, 41(2): 98-108. |
| [7] | 刘东海, 戴志刚, 梅亮贤, 乔艳, 张智, 肖卓熙, 李菲, 胡诚. 短期施肥对麦田土壤细菌群落组成和多样性的影响[J]. 中国农学通报, 2025, 41(2): 43-48. |
| [8] | 刘艳超, 翁仕洋, 魏聪. 怒江西藏段3种鱼类肠道微生物多样性比较研究[J]. 中国农学通报, 2025, 41(2): 149-156. |
| [9] | 金永萍, 刘连金, 任静, 法泽, 李金华, 王慧玲, 吴文涛, 朱有勇, 何霞红, 郭力维. L-赖氨酸和哈茨木霉菌联用对三七生长、根腐病及根际微生物群落结构的影响[J]. 中国农学通报, 2025, 41(17): 115-125. |
| [10] | 王佳, 周德宝, 张军生, 钱莹莹, Mansoor HAYAT, 王占斌. 基于高通量测序的樟子松叶部病害分析及叶际真菌群落多样性研究[J]. 中国农学通报, 2024, 40(5): 27-33. |
| [11] | 肖雯丽, 王含瑞, 王梦亮, 王俊红. 盐碱胁迫下植物响应机制的研究进展[J]. 中国农学通报, 2024, 40(33): 78-85. |
| [12] | 郎涛, 杨飞洋, 蒲志刚, 张聪, 李明, 余马, 屈会娟, 伍竞宇, 张璐, 刁杜, 冯俊彦. 转录组测序技术在甘薯研究中的应用[J]. 中国农学通报, 2024, 40(30): 94-102. |
| [13] | 杨玉玲, 王灿, 屈用函, 茹瑞红, 孙宏伟, 李雪萍, 杨清松, 陶永宏. 文山地区三七根际真菌群落多样性及与土壤类型的关系研究[J]. 中国农学通报, 2024, 40(28): 94-101. |
| [14] | 王灿, 杨玉玲, 彭翠仙, 赵大伟, 李玲, 杨清松, 孙宏伟, 屈用函, 陶永宏. 三七籽条对文山红壤土真菌群落结构的影响研究[J]. 中国农学通报, 2024, 40(24): 87-91. |
| [15] | 高敬文, 郭子燕, 王峰. 盐碱胁迫下作物氮素吸收利用的响应机理及调控措施研究进展[J]. 中国农学通报, 2024, 40(24): 44-50. |
| 阅读次数 | ||||||
|
全文 |
|
|||||
|
摘要 |
|
|||||