欢迎访问《中国农学通报》,

中国农学通报 ›› 2025, Vol. 41 ›› Issue (29): 69-75.doi: 10.11924/j.issn.1000-6850.casb2025-0280

• 资源·环境·生态·土壤·气象 • 上一篇    下一篇

秸秆生物炭配施DMPP对农田土壤NH3和N2O排放的影响

聂新军1(), 潘红艳2, 汪玉瑛3, 吕豪豪3, 黄佳佳3, 何莉莉3()   

  1. 1 浙江省耕地质量与肥料管理总站, 杭州 310020
    2 天台县农业农村局, 浙江台州 317200
    3 浙江省农业科学院 环境资源与土壤肥料研究所, 杭州 310021
  • 收稿日期:2025-04-03 修回日期:2025-08-18 出版日期:2025-10-15 发布日期:2025-10-22
  • 通讯作者:
    何莉莉,女,1988年出生,河南周口人,副研究员,博士,主要从事土壤氮迁移转化规律及其生态环境效应研究。通信地址:310021 浙江省杭州市德胜东路298号,Tel:0571-86419202,E-mail:
  • 作者简介:

    聂新军,男,1987年出生,山东肥城人,工程师,硕士,主要从事农村能源技术推广工作。通信地址:310020 浙江省杭州市凤起东路29号,Tel:0571-86757028,E-mail:

  • 基金资助:
    浙江省三农九方科技协作项目“新型秸秆炭基肥固碳增效研究与示范”(2023SNJF040)

Effects of Biochar Combined with DMPP on Soil NH3 and N2O Emission in Vegetable Soil

NIE Xinjun1(), PAN Hongyan2, WANG Yuying3, LYU Haohao3, HUANG Jiajia3, HE lili3()   

  1. 1 Cultivated Land Quality and Fertilizer Management Station of Zhejiang Province, Hangzhou 310020
    2 The Agriculture and Rural Affairs Bureau of Tiantai County, Taizhou, Zhejiang 317200
    3 Institute of Environment, Resource, Soil and Fertilizer, Zhejiang Academy of Agricultural Sciences, Hangzhou 310021
  • Received:2025-04-03 Revised:2025-08-18 Published:2025-10-15 Online:2025-10-22

摘要:

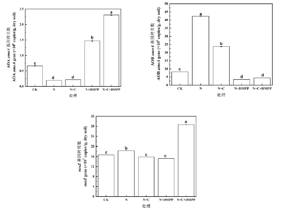
为探究秸秆生物炭和硝化抑制剂协同施用对设施蔬菜种植土壤氨(NH3)与氧化亚氮(N2O)排放的影响及其作用机制,本研究采集浙江设施蔬菜种植大棚土壤,结合密闭箱—气相色谱法开展盆栽试验,观测秸秆生物炭与硝化抑制剂(DMPP)对作物生长期间土壤N2O及NH3排放的影响。试验设置5个处理:对照(CK)、单施尿素(N)、尿素+硝化抑制剂(N+DMPP)、尿素+生物炭(N+C)、尿素+生物炭+硝化抑制剂(N+C+DMPP)。结果表明:在N2O方面,相较于N处理(16.69 mg N/m2),N+C处理使N2O累积排放量降低11.74%(14.73 mg N/m2);N+DMPP(8.36mg N/m2)、N+C+DMPP(2.82mg N/m2)处理显著降低了N2O累积排放量。DMPP通过抑制氨氧化细菌(AOB)的生长繁殖来抑制硝化作用,进而降低硝化过程产生的N2O累积损失量。在NH3排放方面,N+C处理显著提高了土壤中累积氨挥发量(45.08 kg N/hm2),较N处理增加59.75%;N+C+DMPP处理的氨挥发量也高于N处理24.24%。单独添加DMPP与N处理氨挥发无显著差异。在微生物机制方面,生物炭与硝化抑制剂配施处理nosZ基因数量比单独施用高出80%,说明两者配施使土壤反硝化作用强显著增强,利于N2O还原N2。在温室效应潜能评估方面,综合考虑N2O直接排放和氨挥发导致的N2O间接排放所产生的温室效应潜能(GWP),N+C处理降低N2O排放,但促进了氨挥发,进而增加了其产生的温室效应潜能(GWP)。综上,在设施蔬菜种植体系中,相较于单一施用措施,3,4-二甲基吡唑磷酸盐(DMPP)与生物炭配施能够更显著地抑制土壤氮素转化过程中温室气体的排放,在施肥关键期展现出最优的全球增温潜势(GWP)削减效果,为实现设施农业绿色低碳生产提供了高效可行的技术路径。

关键词: 秸秆, 设施蔬菜, 硝化抑制剂, 温室效应潜能, 活性氮

Abstract:

To explore the effects and mechanisms of biochar and nitrification inhibitors on the emission of main reactive nitrogen gases (NH3 and N2O) in protected vegetable cultivation soil, soil from vegetable greenhouses in Zhejiang was collected, and a pot experiment was conducted using a closed chamber-gas chromatography method to observe the impacts of straw biochar and nitrification inhibitor (DMPP) on soil N2O and NH3 emissions during crop growth. Five treatments were set up for the experiment, including CK (control), urea (N), urea + nitrification inhibitor (N+DMPP), urea + biochar (N+C), and urea + biochar + nitrification inhibitor (N+C+DMPP). The results showed that the cumulative N2O emission of the N treatment was 16.69 mg N/m2, and that of the N+C treatment was 14.73 mg N/m2, indicating that biochar reduced the cumulative N2O loss in vegetable field soil by approximately 11.74%. The cumulative N2O emissions of the N+DMPP, N+C+DMPP, and CK treatments were 8.36, 2.82 and 2.58 mg N/m2, respectively, which were significantly lower than those of the N treatment. DMPP inhibited nitrification by suppressing the growth and reproduction of AOB (ammonia-oxidizing bacteria), thereby reducing the cumulative N2O loss from the nitrification process. The cumulative ammonia volatilization in the soil of the N+C treatment was 45.08 kg N/hm2, 59.75% higher than that of the N treatment, and the N+C+DMPP treatment was 24.24% higher than the N treatment. There was no significant difference in ammonia volatilization between the single DMPP addition and the N treatment. The number of nosZ genes in the biochar and nitrification inhibitor combined treatment was 80% higher than that in the single application, indicating that the combined application significantly enhanced soil denitrification, which was conducive to the reduction of N2O to N2. Considering the global warming potential (GWP) caused by direct N2O emissions and indirect N2O emissions from ammonia volatilization, the N+C treatment reduced N2O emissions but promoted ammonia volatilization, thereby increasing its GWP. In the protected vegetable cultivation system, compared with single application measures, the combined application of 3, 4-dimethylpyrazole phosphate (DMPP) and biochar can more significantly inhibit greenhouse gas emissions during soil nitrogen transformation, showing the best GWP reduction effect during the critical fertilization period, providing an efficient and feasible technical path for achieving green and low-carbon production in protected agriculture.

Key words: straw, protected vegetables, nitrification inhibitor, greenhouse effect potential, active N