欢迎访问《中国农学通报》,

中国农学通报 ›› 2026, Vol. 42 ›› Issue (6): 171-179.doi: 10.11924/j.issn.1000-6850.casb2025-0806

• 植物保护·农药 • 上一篇    下一篇

微酸电解水对苹果红腐病的防治效果及作用机制

李亚楠(), 李嘉惠, 王树桐, 胡同乐, 曹克强, 戴蓬博()   

  1. 河北农业大学植物保护学院, 河北保定 071001
  • 收稿日期:2025-09-22 修回日期:2026-02-25 出版日期:2026-03-25 发布日期:2026-03-30
  • 通讯作者:
    戴蓬博,男,1988年出生,陕西丹凤人,副教授,博士,研究方向:果实病原真菌的致病机制及病害的生物防治。通信地址:071001 河北省保定市莲池区河北农业大学西校区,Tel:0312-7528157,E-mail:
  • 作者简介:

    李亚楠,女,1999年出生,河北唐山人,研究生在读,研究方向:果实病原真菌的致病机制及病害的生物防治。通信地址:071001 河北省保定市莲池区河北农业大学西校区,E-mail:

  • 基金资助:
    国家自然科学基金“转录因子TrTri6和TrTri10调控TCN合成影响粉红单端孢侵染苹果的分子机制”(32302619); 国家现代农业产业技术体系建设专项“国家苹果产业技术体系”(CARS-27); 河北省自然科学青年基金“转录因子TrStuA调控粉红聚端孢致病性分子机制”(C2022204186)

The Control Effect and Mechanism of Slightly Acidic Electrolyzed Water on Pink Mold Rot of Apple

LI Yanan(), LI Jiahui, WANG Shutong, HU Tongle, CAO Keqiang, DAI Pengbo()   

  1. College of Plant Protection, Hebei Agricultural University, Baoding, Hebei 071001
  • Received:2025-09-22 Revised:2026-02-25 Published:2026-03-25 Online:2026-03-30

摘要:

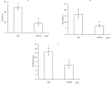
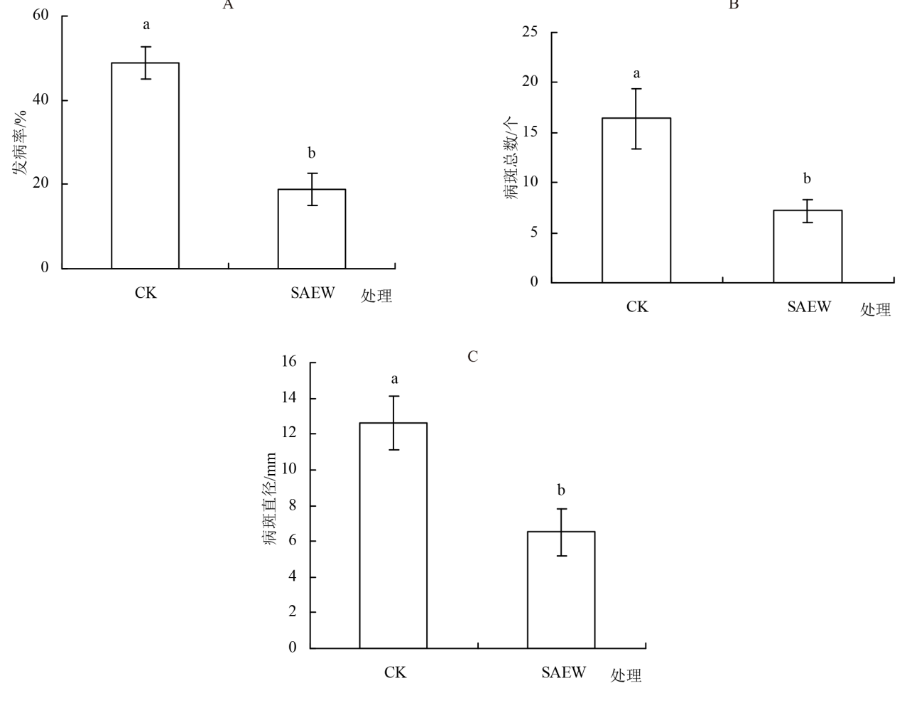
为探究微酸性电解水(slightly acidic electrolyzed water,SAEW)对粉红聚端孢(Trichothecium roseum)的杀菌效果、杀灭机制以及对苹果红腐病的防治效果,通过使用不同有效氯质量浓度(available chlorine concentration,ACC)的SAEW对T. roseum进行不同时间的处理,考察ACC和处理时间对该菌孢子萌发和菌丝生长的影响;用SAEW处理接种T. roseum的苹果考察其对红腐病的影响。利用扫描电镜和透射电镜观察SAEW对T. roseum孢子和菌丝的形态影响。通过碘化丙啶染色和活性氧探针染色,考察SAEW对T. roseum细胞膜的影响。此外,明确SAEW处理对苹果果实品质的影响。结果显示,ACC为200 mg/L及以上的SAEW处理3 min以上可完全抑制T. roseum的孢子萌发。ACC为400 mg/L的SAEW处理10 min可完全抑制T. roseum的菌丝生长。在苹果果实上,有伤和无伤条件下均可以有效抑制苹果红腐病的发生。SAEW可以破坏菌丝细胞壁及细胞膜,造成细胞膜氧化损伤,从而杀灭T. roseum。此外,SAEW不影响苹果果实的品质。

关键词: 电解水, 粉红聚端孢, 病害防效, 苹果, 杀菌效果, 菌丝形态, 扫描电镜, 孢子萌发

Abstract:

This study investigated fungicidal efficacy and mechanism of slightly acidic electrolyzed water (SAEW) against Trichothecium roseum, and its control effect on pink mold rot. T. roseum were treated with SAEW at different available chlorine concentrations (ACC) for varying durations to assess the impact of ACC and time on conidial germination and hyphal growth. The effect of SAEW on pink mold rot was evaluated by treating apples inoculated with T. roseum. Morphological changes in T. roseum conidia and hyphae induced by SAEW were observed using scanning electron microscopy and transmission electron microscopy. Propidium iodide staining and reactive oxygen species (ROS) probe staining were employed to investigate the effect of SAEW on the cell membrane. Furthermore, the impact of SAEW treatment on apple fruit quality was determined. SAEW with an ACC of 200 mg/L or higher, applied for 3 minutes or longer, completely inhibited T. roseum conidial germination. Treatment with 400 mg/L SAEW for 10 minutes completely inhibited mycelial growth of T. roseum. SAEW effectively suppressed the occurrence of pink mold rot of apple under both wounded and unwounded conditions. SAEW exerted its lethal effect on T. roseum by damaging the hyphal cell wall and cell membrane, causing oxidative damage to the cell membrane. In addition, SAEW treatment did not adversely affect the quality of apple fruit.

Key words: electrolyzed water, Trichothecium roseum, disease control effect, apple, sterilization effect, mycelial morphology, scanning electron microscopy, spore germination