欢迎访问《中国农学通报》,

中国农学通报 ›› 2025, Vol. 41 ›› Issue (28): 68-77.doi: 10.11924/j.issn.1000-6850.casb2025-0336

• 资源·环境·生态·土壤·气象 • 上一篇    下一篇

阳江市农用地土壤肥力与硒含量特征分析及综合质量评价

龚颖婷1(), 杨健源2(), 卢海澜3, 申健1, 卢希旭4, 宁建凤1, 吕新民5, 王荣辉1, 谢月兰3, 姚建武1, 姜先芽3, 李盟军1()   

  1. 1 广东省农业科学院农业资源与环境研究所/农业农村部南方植物营养与肥料重点实验室/广东省养分资源循环利用与耕地保育重点实验室,广州 510640
    2 广东省农业科学院植物保护研究所,广州 510640
    3 阳江市农业科学研究所,广东阳江 529500
    4 阳江市江城区农业服务管理中心,广东阳江 529500
    5 广东省农业科学院果树研究所,广州 510640
  • 收稿日期:2025-04-21 修回日期:2025-08-18 出版日期:2025-10-05 发布日期:2025-10-10
  • 通讯作者:
    杨健源,男,1971年出生,云南保山人,研究员,博士,研究方向:粮食作物绿色高产高效。通信地址:510640 广州市天河区金颖路7号 植保所,Tel:020-87597562,E-mail:
    李盟军,男,1980年出生,陕西武功人,副研究员,硕士,主要从事农业面源污染监测与治理及土壤改良方面研究。通信地址:510640 广东省广州市天河区金颖路66号 资环所,Tel:020-85161496,E-mail:
  • 作者简介:

    龚颖婷,女,1993年出生,湖南娄底人,助理研究员,博士,研究方向:农田生态与耕地地力提升。通信地址:510640 广州市天河区金颖路66号 资环所,Tel:020-85161496,E-mail:

  • 基金资助:
    国家自然青年科学基金项目“长期不同施肥措施下赤红壤水稻土稳定性有机质的演变特征”(42307455); 广东省自然科学基金面上项目“长期轮作施肥体系中赤红壤稳定性有机质的演变特征及动力学机制”(2024A1515010270); 广东省农业科学院科技人才引进专项资金项目“优秀博士第三层次”(R2022YJ-YB3008); 2023年度广东省农业科学院农业资源与环境研究所科技条件平台创新项目“基础及应用基础研究项目”(ZHS2023-03); 广东省现代农业产业技术体系创新团队建设项目“以农业领域为单元的广东省现代农业产业共性关键技术研发创新团队建设项目(绿色循环农业(含绿肥专题)共性关键技术)”(2024CXTD17); 2024年度科技创新战略专项资金(农业科研主力军建设)“广东省农业科学院农业资源与环境研究所2024年驻点工作项目”(2024驻点10); 2024年度科技创新战略专项资金(农业科研主力军建设)“广东省农业科学院阳江分院2024年科技支撑与推广服务项目”(2024支撑06)

Analysis of Soil Fertility and Selenium Content Characteristics and Comprehensive Quality Evaluation of Agricultural Land in Yangjiang City

GONG Yingting1(), YANG Jianyuan2(), LU Hailan3, SHEN Jian1, LU Xixu4, NING Jianfeng1, LYU Xinmin5, WANG Ronghui1, XIE Yuelan3, YAO Jianwu1, JIANG Xianya3, LI Mengjun1()   

  1. 1 Institute of Agricultural Resources and Environment, Guangdong Academy of Agricultural Sciences/Key Laboratory of Plant Nutrition and Fertilizer in South Region, Ministry of Agriculture and Rural Affairs/Guangdong Key Laboratory of Nutrient Cycling and Farmland Conservation, Guangzhou 510640
    2 Plant Protection Research Institute,Guangdong Academy of Agricultural Sciences, Guangzhou 510640
    3 Yangjiang Institute of Agricultural Sciences,Yangjiang, Guangdong 529500
    4 Agricultural Service Management Center of Jiangcheng District, Yangjiang City,Yangjiang, Guangdong 529500
    5 Institute of Fruit Tree Research, Guangdong Academy of Agricultural Sciences, Guangzhou 510640
  • Received:2025-04-21 Revised:2025-08-18 Published:2025-10-05 Online:2025-10-10

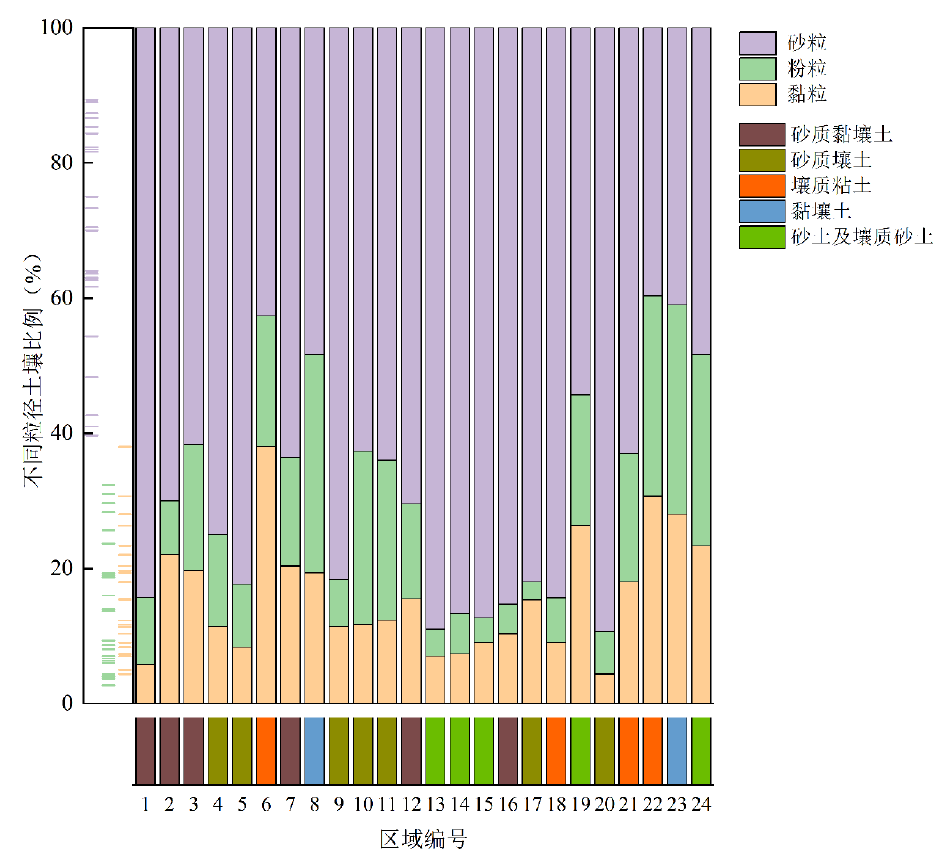
摘要: 研究旨在明晰阳江市农用地土壤肥力与硒含量现状,阐释两者之间的相关关系,并实现农用地“硒—肥”多维质量评价,为阳江市优化农用地管理和发展富硒农业提供数据支撑与科学依据。基于阳江市农业产业布局,在江城区、阳东区、阳西县、阳春市系统布设23个代表性农用地区域,共采集70份土壤样品,解析农用地土壤理化性质与硒含量分布特征,并构建基于土壤肥力与硒含量的土壤综合质量评价体系。结果表明,阳江市研究区域农用地砂粒占比较高,质地多以砂质壤土与砂质黏壤土为主,均呈微酸性。土壤有机质、总氮、速效钾含量中等偏上,有效磷含量极丰富。土壤全硒含量为0.12~1.43 mg/kg,平均值为0.47 mg/kg;有效硒含量为0.01~0.15 mg/kg,平均值为0.047 mg/kg。研究区域土壤富硒等级占比为57.1%,中硒以上等级占比达94.3%。此外,土壤质地与有机质含量显著影响全硒含量,土壤质地、有效磷与pH是影响有效硒含量的主要理化性质。研究区域“硒—肥”多维土壤质量评价指数为0.299,单项指标评价指数表现为有效磷>全硒/有效硒>速效钾>有机质>全氮。研究区域具有天然富硒农用地资源优势,具备发展富硒农业的基础与潜力。阳江市农用地应保持硒与有效磷含量的现有优势,通过提升有机质含量、增加氮磷养分提升农用地综合质量,同时治理土壤酸化、改善质地,从而有效调控硒含量及其有效性,为发展富硒可持续农业提供基础保障。

关键词: 阳江市, 土壤硒, 土壤肥力, “硒—肥”相关关系, 土壤综合质量评价

Abstract:

To clarify the current status of soil fertility and selenium (Se) content in agricultural lands of Yangjiang City, elucidate their correlation, and establish a multi-dimensional ‘Se-fertility’ quality evaluation system, thereby providing data support and scientific basis for optimizing farmland management and developing Se-rich agriculture in the region. Based on agricultural layout of Yangjiang, 23 representative farmland areas were systematically selected across Jiangcheng District, Yangdong District, Yangxi County, and Yangchun City, with 70 soil samples being collected. Soil physicochemical properties and Se distribution characteristics were analyzed, and a comprehensive soil quality evaluation system integrating soil fertility and Se content was developed. The results showed that the agricultural soils in the study area of Yangjiang City had a relatively high sand content, and the textures were mainly sandy loam and sandy clay loam, which were slightly acidic. Soil fertility was generally characterized by moderate-to-high levels of organic matter, total nitrogen, and available potassium, along with extremely abundant available phosphorus. The total Se content ranged from 0.12 to 1.43 mg/kg (mean: 0.47 mg/kg), while the available Se content ranged from 0.01 to 0.15 mg/kg (mean: 0.047 mg/kg). Se-rich soils accounted for 57.1% of the study area, and soils with medium-to-high Se levels reached 94.3%. Additionally, soil texture and organic matter content significantly influenced total Se, while soil texture, available phosphorus, and pH were the main physicochemical factors affecting available Se. The multi-dimensional ‘Se-fertility’ soil quality index for the study area was 0.299, and individual indicator indices ranked as follows: available phosphorus > total Se / available Se > available potassium > organic matter > total nitrogen. The study area possessed inherent advantages in naturally Se-rich agricultural land resources, providing a solid foundation and potential for developing Se-rich agriculture. To enhance the comprehensive quality of agricultural land in Yangjiang City, it is essential to maintain the existing advantages of Se and available phosphorus content while improving organic matter levels and increasing nitrogen-phosphorus nutrients. Concurrently, addressing soil acidification and optimizing soil texture will effectively regulate Se content and its bioavailability, thereby establishing a fundamental basis for advancing Se-enriched and sustainable agriculture.

Key words: Yangjiang City, soil selenium, soil fertility, ‘Se-fertility’ correlation, integrated soil quality evaluation