中国农学通报 ›› 2025, Vol. 41 ›› Issue (34): 23-29.doi: 10.11924/j.issn.1000-6850.casb2025-0166
袁晨晨1,2(
), 燕丽萍1(
), 李丽1(
), 周健1, 孙超1, 王因花1, 李天娇1
收稿日期:2025-03-05
修回日期:2025-09-10
出版日期:2025-12-04
发布日期:2025-12-04
通讯作者:
作者简介:袁晨晨,女,硕士研究生,主要研究方向:林木遗传育种。通信地址:250014 山东省济南市历下区文化东路42号,E-mail:3257817146@qq.com。
基金资助:
YUAN Chenchen1,2(
), YAN Liping1(
), LI Li1(
), ZHOU Jian1, SUN Chao1, WANG Yinhua1, LI Tianjiao1
Received:2025-03-05
Revised:2025-09-10
Published:2025-12-04
Online:2025-12-04
摘要:
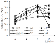
为探究白蜡杂交苗在盐胁迫环境下生长性状以及生理响应的变化情况,了解不同杂交苗的耐盐特性,本研究选取当年生7种白蜡杂交种子苗以及2个白蜡新品种作为试验材料。通过设置不同浓度(0‰、4‰、8‰、12‰)的盐胁迫处理,系统研究这些白蜡材料的生理响应,并运用隶属函数法对9种白蜡当年生苗的抗盐能力进行综合评价。研究结果表明,随着盐胁迫强度的逐步增加,9种白蜡幼苗的生长均受到不同程度的抑制。其中,‘327’和‘325’的株高和地径下降幅度相对较小,受盐害影响并不显著;而‘青碧’和‘344’的生长则明显受到盐胁迫抑制。在生理指标方面,相较于其他组合,‘327’和‘325’在盐胁迫下电导率和丙二醛含量的变化较为平稳,叶绿素含量的降低幅度较小,叶片超氧化物歧化酶活性上升幅度较大,脯氨酸含量和可溶性糖含量的增加幅度也明显大于其他种质。相反,‘青碧’和‘344’的电导率和丙二醛含量上升幅度较大,叶绿素含量下降幅度显著,叶片超氧化物歧化酶活性、脯氨酸含量和可溶性糖含量的增加幅度均较小。综合来看,在盐胁迫条件下,‘327’和‘325’具有较强的抗氧化酶保护系统,细胞膜结构相对完整,膜脂质过氧化程度较低,叶绿素损失较少,能够通过光合作用积累较多的光合产物,植株生长速度较快,表现出较高的耐盐性;而‘青碧’和‘344’的耐盐性则较差。基于隶属函数法对9种白蜡幼苗的耐盐性进行综合评价,9种白蜡幼苗耐盐性由强到弱依次为‘327’>‘325’>‘鲁蜡6号’>‘318’>‘317’>‘346’>‘342’>‘344’>‘青碧’。
袁晨晨, 燕丽萍, 李丽, 周健, 孙超, 王因花, 李天娇. 9种白蜡苗期耐盐响应与综合评价[J]. 中国农学通报, 2025, 41(34): 23-29.
YUAN Chenchen, YAN Liping, LI Li, ZHOU Jian, SUN Chao, WANG Yinhua, LI Tianjiao. Salt Tolerance Response and Comprehensive Evaluation of Nine Kinds of Fraxinus at Seedling Stage[J]. Chinese Agricultural Science Bulletin, 2025, 41(34): 23-29.
| NaCl浓度 | 青碧 | 325 | 327 | 342 | 317 | 318 | 鲁蜡6号 | 346 | 344 | |||
|---|---|---|---|---|---|---|---|---|---|---|---|---|
| 0‰ | 正常 | 正常 | 正常 | 正常 | 正常 | 正常 | 正常 | 正常 | 正常 | |||
| 4‰ | 20%伤害, 无死苗 | 20%伤害, 无死苗 | 10%伤害, 无死苗 | 轻微伤害, 无死苗 | 轻微伤害, 无死苗 | 20%伤害, 无死苗 | 10%伤害, 无死苗 | 基本正常, 无死苗 | 轻微伤害, 无死苗 | |||
| 8‰ | 67%植株死亡 | 33%植株死亡 | 33%植株死亡 | 56%植株死亡 | 44%植株死亡 | 33%植株死亡 | 44%植株死亡 | 44%植株死亡 | 67%植株死亡 | |||
| 12‰ | 89%植株死亡 | 89%植株死亡 | 89%植株死亡 | 100%植株死亡 | 100%植株死亡 | 67%植株死亡 | 78%植株死亡 | 100%植株死亡 | 89%植株死亡 | |||
| NaCl浓度 | 青碧 | 325 | 327 | 342 | 317 | 318 | 鲁蜡6号 | 346 | 344 | |||
|---|---|---|---|---|---|---|---|---|---|---|---|---|
| 0‰ | 正常 | 正常 | 正常 | 正常 | 正常 | 正常 | 正常 | 正常 | 正常 | |||
| 4‰ | 20%伤害, 无死苗 | 20%伤害, 无死苗 | 10%伤害, 无死苗 | 轻微伤害, 无死苗 | 轻微伤害, 无死苗 | 20%伤害, 无死苗 | 10%伤害, 无死苗 | 基本正常, 无死苗 | 轻微伤害, 无死苗 | |||
| 8‰ | 67%植株死亡 | 33%植株死亡 | 33%植株死亡 | 56%植株死亡 | 44%植株死亡 | 33%植株死亡 | 44%植株死亡 | 44%植株死亡 | 67%植株死亡 | |||
| 12‰ | 89%植株死亡 | 89%植株死亡 | 89%植株死亡 | 100%植株死亡 | 100%植株死亡 | 67%植株死亡 | 78%植株死亡 | 100%植株死亡 | 89%植株死亡 | |||
| NaCl浓度 | 青碧 | 325 | 327 | 342 | 344 | 318 | 鲁蜡6号 | 317 | 346 | ||||||||
|---|---|---|---|---|---|---|---|---|---|---|---|---|---|---|---|---|---|
| 0‰ | 3.056±0.132a | 3.092±0.176a | 2.844±0.24ab | 2.533±0.118a | 2.967±0.272a | 2.25±0.226ab | 2.572±0.157a | 2.967±0.283a | 3.180±0.310a | ||||||||
| 4‰ | 2.511±0.167b | 2.434±0.127b | 3.052±0.245a | 2.02±0.133b | 2.25±0.167b | 2.675±0.104a | 1.522±0.103b | 1.311±0.151b | 1.673±0.038b | ||||||||
| 8‰ | 2.209±0.127b | 2.258±0.109b | 2.398±0.128b | 1.024±0.082c | 1.567±0.241c | 2.006±0.135b | 1.607±0.173b | 1.217±0.13b | 1.247±0.169b | ||||||||
| 12‰ | 1.063±0.089c | 2.073±0.127b | 1.703±0.167c | 1.165±0.223c | 1.097±0.087c | 1.342±0.096c | 1.204±0.145b | 1.185±0.077b | 1.185±0.083b | ||||||||
| NaCl浓度 | 青碧 | 325 | 327 | 342 | 344 | 318 | 鲁蜡6号 | 317 | 346 | ||||||||
|---|---|---|---|---|---|---|---|---|---|---|---|---|---|---|---|---|---|
| 0‰ | 3.056±0.132a | 3.092±0.176a | 2.844±0.24ab | 2.533±0.118a | 2.967±0.272a | 2.25±0.226ab | 2.572±0.157a | 2.967±0.283a | 3.180±0.310a | ||||||||
| 4‰ | 2.511±0.167b | 2.434±0.127b | 3.052±0.245a | 2.02±0.133b | 2.25±0.167b | 2.675±0.104a | 1.522±0.103b | 1.311±0.151b | 1.673±0.038b | ||||||||
| 8‰ | 2.209±0.127b | 2.258±0.109b | 2.398±0.128b | 1.024±0.082c | 1.567±0.241c | 2.006±0.135b | 1.607±0.173b | 1.217±0.13b | 1.247±0.169b | ||||||||
| 12‰ | 1.063±0.089c | 2.073±0.127b | 1.703±0.167c | 1.165±0.223c | 1.097±0.087c | 1.342±0.096c | 1.204±0.145b | 1.185±0.077b | 1.185±0.083b | ||||||||
| NaCl 浓度 | 青碧 | 325 | 327 | 342 | 344 | 318 | 鲁蜡6号 | 317 | 346 |
|---|---|---|---|---|---|---|---|---|---|
| 0‰ | 0.8012±0.3593b | 0.7882±0.1471c | 0.4075±0.1179c | 0.6813±0.0901c | 1.1572±0.134d | 0.8894±0.1229c | 0.7766±0.1317b | 0.6187±0.0352c | 0.7493±0.0678c |
| 4‰ | 0.3642±0.0315b | 1.3638±0.188b | 1.3666±0.1354b | 0.9472±0.0893bc | 1.622±0.1169c | 1.6382±0.1859b | 0.8252±0.1412b | 0.8659±0.1069c | 1.3062±0.0441b |
| 8‰ | 2.4919±0.0684a | 2.5686±0.1209a | 1.8116±0.1505b | 1.2114±0.1099b | 2.2039±0.1537b | 1.8667±0.1038b | 0.7439±0.061b | 1.435±0.0994b | 1.3604±0.1583b |
| 12‰ | 2.8744±0.1461a | 2.9593±0.1394a | 2.4124±0.2303a | 1.7553±0.1906a | 2.7764±0.1461a | 2.4228±0.1609a | 2.6301±0.3726a | 1.9024±0.1551a | 2.0081±0.1772a |
| NaCl 浓度 | 青碧 | 325 | 327 | 342 | 344 | 318 | 鲁蜡6号 | 317 | 346 |
|---|---|---|---|---|---|---|---|---|---|
| 0‰ | 0.8012±0.3593b | 0.7882±0.1471c | 0.4075±0.1179c | 0.6813±0.0901c | 1.1572±0.134d | 0.8894±0.1229c | 0.7766±0.1317b | 0.6187±0.0352c | 0.7493±0.0678c |
| 4‰ | 0.3642±0.0315b | 1.3638±0.188b | 1.3666±0.1354b | 0.9472±0.0893bc | 1.622±0.1169c | 1.6382±0.1859b | 0.8252±0.1412b | 0.8659±0.1069c | 1.3062±0.0441b |
| 8‰ | 2.4919±0.0684a | 2.5686±0.1209a | 1.8116±0.1505b | 1.2114±0.1099b | 2.2039±0.1537b | 1.8667±0.1038b | 0.7439±0.061b | 1.435±0.0994b | 1.3604±0.1583b |
| 12‰ | 2.8744±0.1461a | 2.9593±0.1394a | 2.4124±0.2303a | 1.7553±0.1906a | 2.7764±0.1461a | 2.4228±0.1609a | 2.6301±0.3726a | 1.9024±0.1551a | 2.0081±0.1772a |
| 种质编号 | 叶绿素含量 | 相对电导率 | SOD活性 | MDA含量 | 株高 | 地径 | 可溶性糖含量 | 脯氨酸含量 | 均值 | 排序 |
|---|---|---|---|---|---|---|---|---|---|---|
| 青碧 | 0.4966 | 0.4231 | 0.3538 | 0.4672 | 0.3865 | 0.3703 | 0.5 | 0.3793 | 0.4221 | 9 |
| 325 | 0.3515 | 0.4133 | 0.7173 | 0.4624 | 0.4708 | 0.6384 | 0.5 | 0.4889 | 0.5053 | 2 |
| 327 | 0.5547 | 0.4641 | 0.5997 | 0.5322 | 0.4955 | 0.5767 | 0.5 | 0.6042 | 0.5409 | 1 |
| 342 | 0.5878 | 0.4971 | 0.5088 | 0.4832 | 0.6185 | 0.318 | 0.4999 | 0.3072 | 0.4776 | 7 |
| 344 | 0.5015 | 0.4138 | 0.46 | 0.6431 | 0.5333 | 0.35 | 0.5007 | 0.3713 | 0.4717 | 8 |
| 318 | 0.5424 | 0.3744 | 0.5062 | 0.639 | 0.5167 | 0.4666 | 0.5 | 0.3867 | 0.4915 | 4 |
| 鲁蜡6号 | 0.4136 | 0.6161 | 0.5053 | 0.5865 | 0.5055 | 0.4978 | 0.4999 | 0.4154 | 0.505 | 3 |
| 317 | 0.4868 | 0.5574 | 0.4481 | 0.6014 | 0.5357 | 0.4505 | 0.5 | 0.3472 | 0.4909 | 5 |
| 346 | 0.552 | 0.6068 | 0.4842 | 0.3841 | 0.4731 | 0.4744 | 0.4998 | 0.375 | 0.4812 | 6 |
| 种质编号 | 叶绿素含量 | 相对电导率 | SOD活性 | MDA含量 | 株高 | 地径 | 可溶性糖含量 | 脯氨酸含量 | 均值 | 排序 |
|---|---|---|---|---|---|---|---|---|---|---|
| 青碧 | 0.4966 | 0.4231 | 0.3538 | 0.4672 | 0.3865 | 0.3703 | 0.5 | 0.3793 | 0.4221 | 9 |
| 325 | 0.3515 | 0.4133 | 0.7173 | 0.4624 | 0.4708 | 0.6384 | 0.5 | 0.4889 | 0.5053 | 2 |
| 327 | 0.5547 | 0.4641 | 0.5997 | 0.5322 | 0.4955 | 0.5767 | 0.5 | 0.6042 | 0.5409 | 1 |
| 342 | 0.5878 | 0.4971 | 0.5088 | 0.4832 | 0.6185 | 0.318 | 0.4999 | 0.3072 | 0.4776 | 7 |
| 344 | 0.5015 | 0.4138 | 0.46 | 0.6431 | 0.5333 | 0.35 | 0.5007 | 0.3713 | 0.4717 | 8 |
| 318 | 0.5424 | 0.3744 | 0.5062 | 0.639 | 0.5167 | 0.4666 | 0.5 | 0.3867 | 0.4915 | 4 |
| 鲁蜡6号 | 0.4136 | 0.6161 | 0.5053 | 0.5865 | 0.5055 | 0.4978 | 0.4999 | 0.4154 | 0.505 | 3 |
| 317 | 0.4868 | 0.5574 | 0.4481 | 0.6014 | 0.5357 | 0.4505 | 0.5 | 0.3472 | 0.4909 | 5 |
| 346 | 0.552 | 0.6068 | 0.4842 | 0.3841 | 0.4731 | 0.4744 | 0.4998 | 0.375 | 0.4812 | 6 |
| [1] |
孙波, 朱安宁, 姚荣江, 等. 潮土、红壤和盐碱地障碍消减技术与产能提升模式研究进展[J]. 土壤学报, 2023, 60(5):1231-1247.
|
| [2] |
doi: 10.1016/j.envres.2024.119707 URL |
| [3] |
|
| [4] |
杨升, 刘正祥, 张华新, 等. 3个树种苗期耐盐性综合评价及指标筛选[J]. 林业科学, 2013, 49(1):91-98.
|
| [5] |
王友平, 刘德玺, 孙明高, 等. 白蜡良种选育研究的现状与对策[J]. 山东林业科技, 2007(6):81-83.
|
| [6] |
姚燕, 张峰. 绒毛白蜡盐碱地造林技术[J]. 宁夏农林科技, 2012, 53(7):27-28.
|
| [7] |
王友平, 刘德玺, 孙明高, 等. 绒毛白蜡营养器官中Na+、K+、Cl-的分布[J]. 石河子大学学报(自然科学版), 2009, 27(1):27-29.
|
| [8] |
常越霞. 盐胁迫对金叶白蜡生理生化特性的影响[D]. 保定: 河北农业大学, 2014.
|
| [9] |
刘翠兰, 吴德军, 王开芳, 等. NaCl胁迫下白蜡杂交苗的生长与生理响应[J]. 中国农学通报, 2016, 32(28):16-21.
doi: 10.11924/j.issn.1000-6850.casb16010152 |
| [10] |
王因花, 燕丽萍, 吴德军, 等. 绒毛白蜡‘青碧’不同半同胞家系的耐盐性评价[J]. 中南林业科技大学学报, 2020, 40(3):30-38.
|
| [11] |
燕丽萍, 吴德军, 王因花, 等. 绒毛白蜡耐盐生理与解剖结构研究[J]. 中国农学通报, 2024, 40(2):16-24.
doi: 10.11924/j.issn.1000-6850.casb2023-0063 |
| [12] |
刘翠兰, 王开芳, 吴德军, 等. 滨海盐碱胁迫下白蜡无性系生长及生理特性的响应[J]. 中国农学通报, 2022, 38(35):7-16.
doi: 10.11924/j.issn.1000-6850.casb2021-1163 |
| [13] |
赵世杰, 刘华山, 董新纯. 植物生理实验指导[M]. 北京: 中国农业出版社,1997:152-154,161-163.
|
| [14] |
李合生. 植物生理实验指导[M]. 北京: 高等教育出版社,2003:134-137.
|
| [15] |
杨升, 张华新, 刘涛. 16个树种盐胁迫下的生长表现和生理特性[J]. 浙江农林大学学报, 2012, 29(5):744-754.
|
| [16] |
马剑, 刘贤德, 金铭, 等. NaCl胁迫对文冠果幼苗生长性状的影响[J]. 中南林业科技大学学报, 2018, 38(1):11-15.
|
| [17] |
倪建伟, 武香, 张华新, 等. 3种白刺耐盐性的对比分析[J]. 林业科学研究, 2012, 25(1):48-53.
|
| [18] |
倪细炉, 岳延峰, 田英, 等. 4种盐生植物抗盐能力的综合评价[J]. 中国农学通报, 2010, 26(6):138-141.
|
| [19] |
|
| [20] |
魏秀君, 殷云龙, 芦治国, 等. NaCl胁迫对5种绿化植物幼苗生长和生理指标的影响及耐盐性综合评价[J]. 植物资源与环境学报, 2011, 20(2):35-42.
|
| [21] |
doi: 10.1111/nph.14920 pmid: 29205383 |
| [22] |
赵江涛, 李晓峰, 李航, 等. 可溶性糖在高等植物代谢调节中的生理作用[J]. 安徽农业科学, 2006, 34(24):6423-6425.
|
| [23] |
doi: 10.1016/j.indcrop.2009.07.015 URL |
| [24] |
doi: 10.1146/arplant.2004.55.issue-1 URL |
| [25] |
|
| [26] |
孙海菁, 王树凤, 陈益泰. 盐胁迫对6个树种的生长及生理指标的影响[J]. 林业科学研究, 2009, 22(3):315-324.
|
| [27] |
杨传宝, 孙超, 李善文, 等. 白杨派无性系苗期耐盐性综合评价及筛选[J]. 北京林业大学学报, 2017, 39(10):24-32.
|
| [28] |
于金平, 俞珊, 梁有旺, 等. NaCl胁迫对美国白蜡幼苗部分生理指标的影响[J]. 植物资源与环境学报, 2014, 23(1):110-112.
|
| [1] | 梁文召, 周诗意, 韦瑞燕, 石琳亚, 刘乃新, 于清涛. 氧化石墨烯引发对盐胁迫下水稻种子萌发的影响[J]. 中国农学通报, 2025, 41(9): 1-7. |
| [2] | 黄文茵, 张白鸽, 常静静, 陈潇, 李静, 陈雷, 赵俊宏, 罗谋雄, 宋钊. 外源肌醇对盐胁迫下番茄产量和品质的影响[J]. 中国农学通报, 2025, 41(9): 73-80. |
| [3] | 周波, 唐劲驰, 黎健龙, 陈义勇, 张曼, 崔莹莹, 黄秀鑫. 茶树叶片对干旱胁迫的生理响应[J]. 中国农学通报, 2025, 41(7): 67-74. |
| [4] | 王丽丽, 朱诗君, 卢晓红, 金树权. 木霉菌W1生物有机肥对滨海番茄种植的影响[J]. 中国农学通报, 2025, 41(7): 100-106. |
| [5] | 刘娇, 胡星, 黄晓霞, 刘文革, 何明雄, 卢昌友, 罗以贵. ‘云烟116’和‘云烟300’在广西河池烟区的种植适应性[J]. 中国农学通报, 2025, 41(7): 22-28. |
| [6] | 朱培灿, 刘以安, 周芳雨, 刘博. 盐碱交互胁迫对河蚬的毒性作用[J]. 中国农学通报, 2025, 41(6): 159-164. |
| [7] | 田沁雨, 胡华兵, 王荣华, 王茂芊. L-抗坏血酸浸种对盐胁迫下甜菜种子萌发的影响[J]. 中国农学通报, 2025, 41(6): 53-59. |
| [8] | 李云溪, 查养良, 陈木兰, 缑耀武, 刘泉. 咸阳阳光玫瑰葡萄种植气候条件分析及适宜性区划[J]. 中国农学通报, 2025, 41(5): 77-83. |
| [9] | 张煜婷, 韩雪雪, 何芳霞, 严瑞. 50种园林小菊观赏性状综合评价[J]. 中国农学通报, 2025, 41(4): 56-65. |
| [10] | 党海红, 何克燕, 何丽丽, 李纪昀, 王佳豪, 王晓丽, 王倩, 魏小星. 8个燕麦品种在玛多地区的生产性能及营养品质综合评价[J]. 中国农学通报, 2025, 41(34): 112-120. |
| [11] | 李婷, 彭楚雲, 马道承, 甘雯, 杨梅, 龙敏. 7种樟科植物生长、生理与养分积累的特性[J]. 中国农学通报, 2025, 41(34): 30-38. |
| [12] | 卜会荣, 尹诗瑜, 徐伟洲, 常瑜池, 史雷, 贾建英. 风沙草滩区紫花苜蓿品种选择与综合性能评价[J]. 中国农学通报, 2025, 41(31): 149-158. |
| [13] | 王曼曼, 冯路路, 张惠敏, 闫洪朗, 王康. 抗枯萎病甜瓜嫁接砧木筛选及综合评价[J]. 中国农学通报, 2025, 41(30): 60-69. |
| [14] | 王娜娜, 何宗均, 董昱辰, 路垚, 路来风, 赵琳娜, 沈晓梅. 耐盐碱菌株的筛选及其对玉米幼苗促生效果的评估[J]. 中国农学通报, 2025, 41(30): 8-17. |
| [15] | 罗静, 杜珊珊, 孙绘健, 姚青青, 何忠盛, 王东力. 陆地棉种质资源种子萌发期耐盐性综合评价[J]. 中国农学通报, 2025, 41(3): 25-35. |
| 阅读次数 | ||||||
|
全文 |
|
|||||
|
摘要 |
|
|||||