欢迎访问《中国农学通报》,

中国农学通报 ›› 2026, Vol. 42 ›› Issue (7): 190-203.doi: 10.11924/j.issn.1000-6850.casb2025-0903

• 食品·营养·检测·安全 • 上一篇    下一篇

基于温控优化的广东地区片烟快速醇化工艺研究

战磊1(), 杨伟滨2, 袁艳花1, 杜婷3, 王熙3, 肖鹭3, 周锦涛3, 陈文乐3, 杨妍3, 齐亮3, 黄磊1()   

  1. 1 广东中烟工业有限责任公司, 广州 510145
    2 广东韶关烟叶复烤有限公司, 广东韶关 512000
    3 华南理工大学食品科学与工程学院, 广州 510640
  • 收稿日期:2025-11-04 修回日期:2026-01-15 出版日期:2026-04-15 发布日期:2026-04-15
  • 通讯作者:
    黄磊,男,1986年出生,高级农艺师,本科,从事烟草醇化和烟叶质量评价研究。E-mail:
  • 作者简介:

    战磊,男,1985年出生,山东日照人,工程师,硕士,主要从事烟叶原料研究。E-mail:

  • 基金资助:
    广东中烟项目“广东地区片烟快速醇化工艺研究”(粤烟工[2023]科字第034号)

Research on Rapid Aging Process of Tobacco Lamina in Guangdong Region Based on Temperature Control Optimization

ZHAN Lei1(), YANG Weibin2, YUAN Yanhua1, DU Ting3, WANG Xi3, XIAO Lu3, ZHOU Jintao3, CHEN Wenle3, YANG Yan3, QI Liang3, HUANG Lei1()   

  1. 1 Guangdong Tobacco Industry Co., Ltd., Guangzhou 510145
    2 Shaoguan Tobacco Leaf Re-drying Co., Ltd., Shaoguan, Guangdong 512000
    3 School of Food Science and Engineering, South China University of Technology, Guangzhou 510640
  • Received:2025-11-04 Revised:2026-01-15 Published:2026-04-15 Online:2026-04-15

摘要:

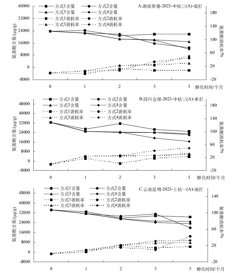
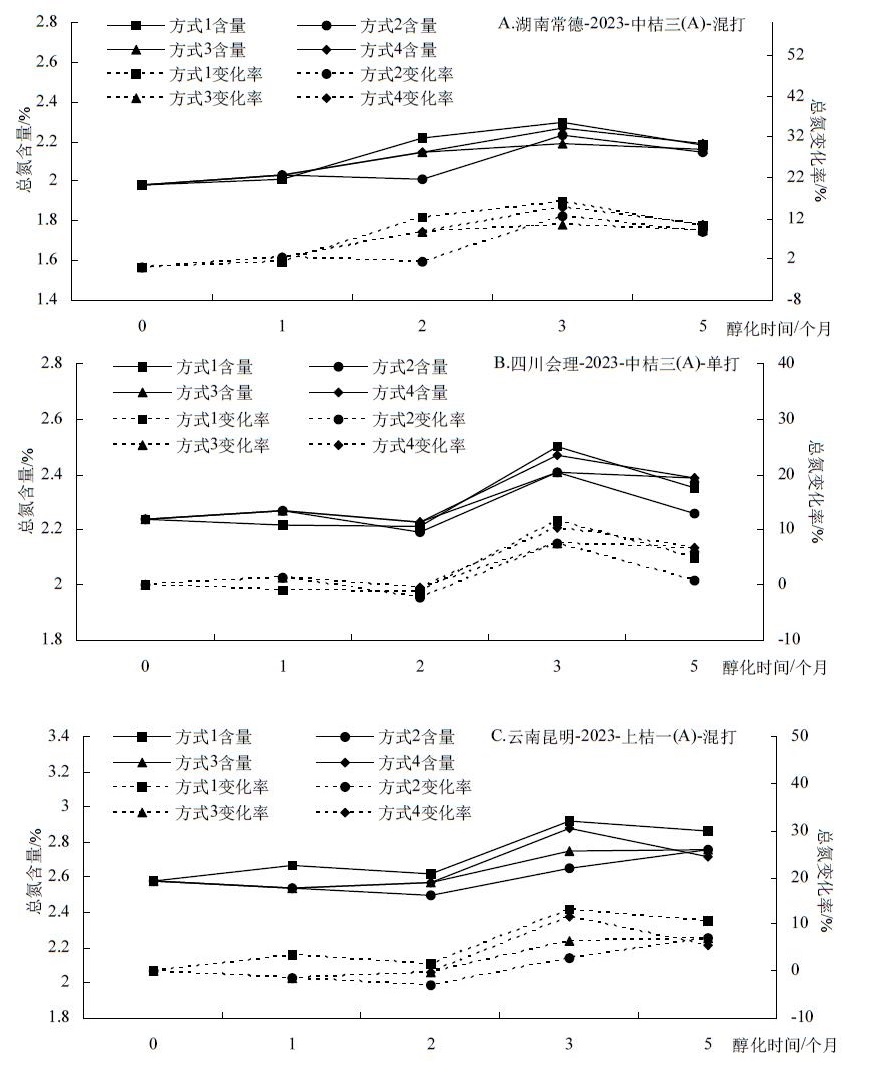
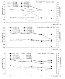
为探究在密封低氧条件下,不同醇化温度和处理时间对烟叶化学成分的影响,以湖南常德、四川会理、云南昆明产区的中部、上部片烟为材料,醇化前3个月,在密封低氧条件下设置4种温控处理(空调28℃与常温30~32℃组合),方式为空调处理3个月、常温处理1个月后转为空调处理2个月、常温处理2个月后空调处理1个月,以及常温处理3个月,后续均统一转入空调环境继续醇化2个月,系统分析不同控温模式对烟叶醇化过程中化学成分动态变化的影响。结果表明:(1)氨基酸、多酚、植物碱、还原糖、总糖含量和pH均随醇化时间延长呈下降趋势,吸光值则逐渐上升,总氮含量未发生显著变化。(2)不同产地片烟在同一处理条件下的化学成分变化幅度存在差异。(3)常温处理2个月(30~32℃,43%~54%湿度)+空调处理1个月(28℃)处理感官品质最优,烟叶吸食品质最佳,该结果与化学成分协调性一致。(4)温控醇化工艺可显著提升片烟的醇化品质,并有效缩短醇化周期,有利于满足高库存压力下的快速周转需求。醇化过程中烟叶化学成分的变化速率对温控模式的响应表现出明显的产区特异性。本研究优化出一套适用于湖南常德、四川会理及云南昆明产区片烟的快速醇化工艺:初期采用30~32℃、43%~54%湿度的常温库醇化2个月,后期转为28℃空调库控温醇化1个月,同时建议后续结合空调库控温醇化以协同抑制不良反应。

关键词: 片烟醇化, 温控优化, 化学成分, 快速醇化工艺, 密封低氧, 感官评价, 去库存, 协同提升

Abstract:

This study aims to investigate the effects of different aging temperatures and durations on the chemical composition of tobacco leaves under sealed low-oxygen conditions. Using mid and upper-position tobacco lamina from Changde of Hunan, Huili of Sichuan, and Yunnan producing regions as test materials, four temperature-controlled treatments were designed: (1) constant air-conditioning (28℃) for 5 months; (2) natural temperature (30-32℃) for 1 month followed by air-conditioning for 4 months; (3) natural temperature for 2 months followed by air-conditioning for 3 months; (4) natural temperature for 3 months followed by air-conditioning for 2 months. The influence of these temperature control modes on the chemical composition during aging was systematically analyzed. The results demonstrated that the contents of amino acids, polyphenols, alkaloids, reducing sugars, and total sugars, as well as pH, exhibited a declining trend with prolonged aging time, while absorbance values gradually increased. No significant change was observed in total nitrogen content. The extent of chemical changes varied among tobacco leaves from different geographical origins under identical treatment conditions. Sensory evaluation revealed that tobacco subjected to 2 months of natural temperature followed by 3 months of air-conditioning achieved the highest smoking quality, consistent with the trends in chemical composition changes. Temperature-controlled aging significantly enhances the quality of tobacco lamina and effectively shortens the aging cycle, thereby supporting rapid turnover under high inventory pressure. The responsiveness of chemical transformation rates to temperature control modes displayed distinct region-specific characteristics. This study has optimized a rapid aging process for tobacco lamina in the production areas of Changde of Hunan, Huili of Sichuan, and Yunnan producing regions. The optimized process consists of a two-month initial stage in a conventional warehouse (30-32℃, 43%-54%RH), followed by a one-month stage in a temperature-controlled (28℃) air-conditioned warehouse. Subsequent temperature-controlled aging is recommended to synergistically inhibit undesirable reactions.

Key words: tobacco lamina aging, temperature control optimization, chemical composition, rapid aging process, sealed low-oxygen, sensory evaluation, inventory clearance, collaborative improvement