
Chinese Agricultural Science Bulletin ›› 2025, Vol. 41 ›› Issue (35): 55-62.doi: 10.11924/j.issn.1000-6850.casb2025-0195
Previous Articles Next Articles
LIU Yuntong1(
), YANG Hailin2, ZHOU Jinhong2(
), LI Tao1, ZHANG Na1, GAO Jinbo1, LIU Xianbin1, YANG Liyun1
Received:2025-03-06
Revised:2025-05-08
Online:2025-12-11
Published:2025-12-11
LIU Yuntong, YANG Hailin, ZHOU Jinhong, LI Tao, ZHANG Na, GAO Jinbo, LIU Xianbin, YANG Liyun. Study on Soil Respiration Characteristics of Tobacco Fields with Ridge Tillage[J]. Chinese Agricultural Science Bulletin, 2025, 41(35): 55-62.
Add to citation manager EndNote|Ris|BibTeX
URL: https://www.casb.org.cn/EN/10.11924/j.issn.1000-6850.casb2025-0195
| 环境因子(n=28) | 养分因子(n=10) | ||||||||
|---|---|---|---|---|---|---|---|---|---|
| ST5/℃ | ST10/℃ | SWC/(%, vol) | MBC/(mg/kg) | DOC/(mg/kg) | NH4+-N/(mg/kg) | NO3--N/(mg/kg) | |||
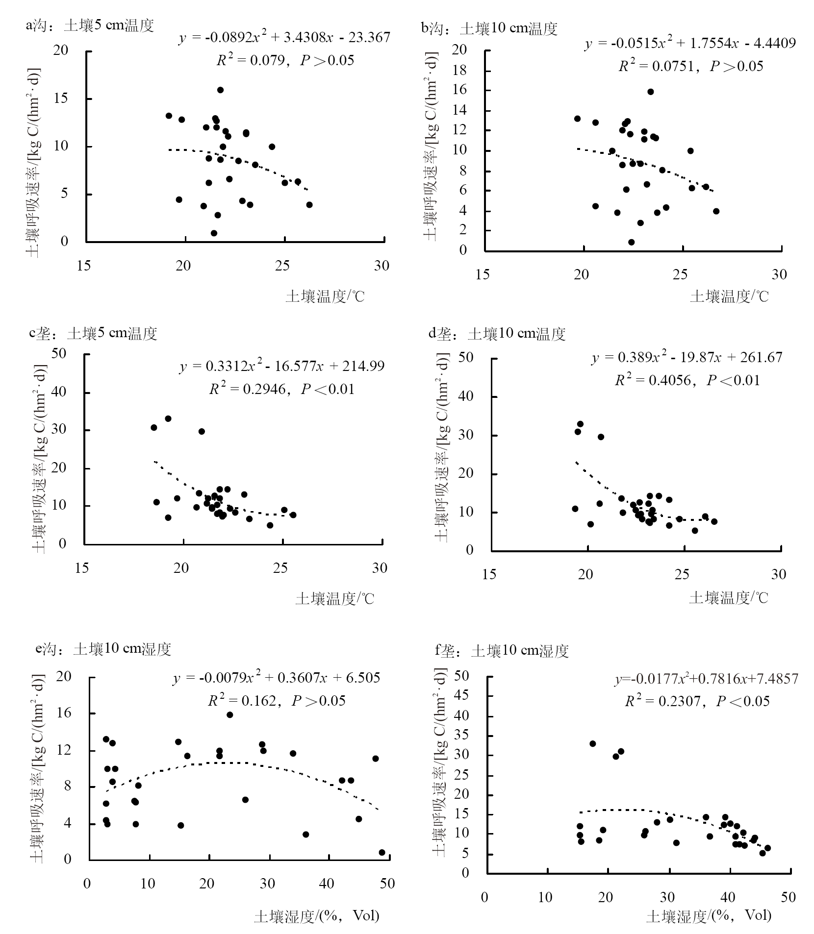
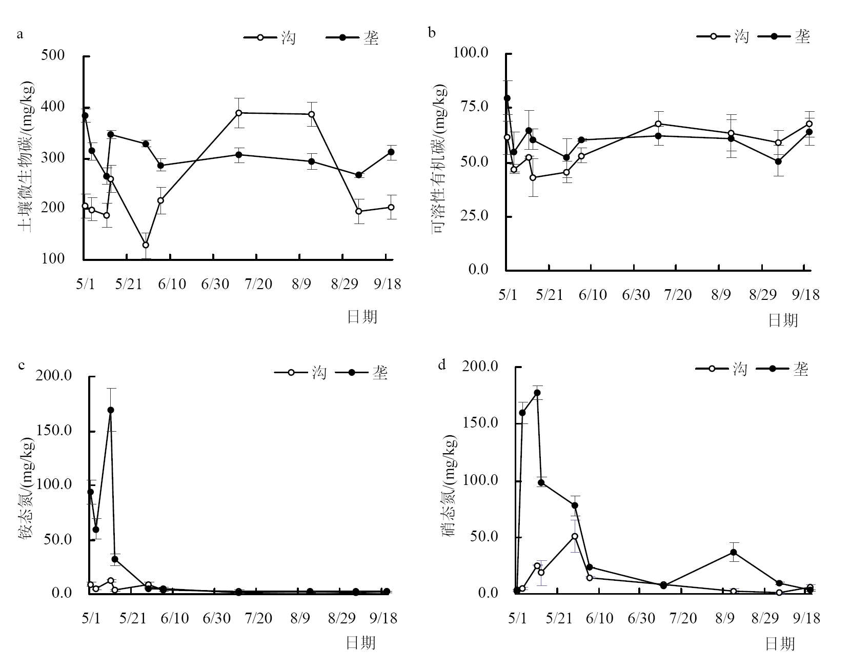
| 均值 | 沟 | 22.2±0.1A | 22.9±0.2a | 19.7±2.5B | 237.3±25.2B | 50.6±5.3a | 5.1±1.2B | 13.4±3.3B | |
| 垄 | 21.6±0.2B | 22.7±0.2a | 32.3±2.3A | 309.7±12.1A | 60.9±5.3a | 37.3±4.8A | 59.7±3.9A | ||
| 相关 系数 | 沟 | -0.306 | -0.315 | -0.058 | 0.740* | 0.645* | -0.490 | -0.478 | |
| 垄 | -0.507** | -0.589** | -0.441* | 0.810** | 0.837** | 0.290 | -0.333 | ||
| 环境因子(n=28) | 养分因子(n=10) | ||||||||
|---|---|---|---|---|---|---|---|---|---|
| ST5/℃ | ST10/℃ | SWC/(%, vol) | MBC/(mg/kg) | DOC/(mg/kg) | NH4+-N/(mg/kg) | NO3--N/(mg/kg) | |||
| 均值 | 沟 | 22.2±0.1A | 22.9±0.2a | 19.7±2.5B | 237.3±25.2B | 50.6±5.3a | 5.1±1.2B | 13.4±3.3B | |
| 垄 | 21.6±0.2B | 22.7±0.2a | 32.3±2.3A | 309.7±12.1A | 60.9±5.3a | 37.3±4.8A | 59.7±3.9A | ||
| 相关 系数 | 沟 | -0.306 | -0.315 | -0.058 | 0.740* | 0.645* | -0.490 | -0.478 | |
| 垄 | -0.507** | -0.589** | -0.441* | 0.810** | 0.837** | 0.290 | -0.333 | ||
| [1] |
doi: 10.1038/s41467-020-20616-z |
| [2] |
doi: 10.1111/gcb.14301 pmid: 29749095 |
| [3] |
2000-2020年全球主要地区和国家CO2排放量[J]. 世界石油工业, 2021, 28(4):81-82.
|
| [4] |
云南省统计局. 2023年云南统计年鉴[M]. 北京: 中国统计出版社, 2024.
|
| [5] |
董晓清, 朱艳玲, 李承科. 烟草种植及田间管理探讨[J]. 种子科技, 2022(22):53-55.
|
| [6] |
张志平, 张仁宽, 赵鹏超. 种植精益化管理在烟草生产中的应用策略研究[J]. 现代农业研究, 2023, 29(12):112-115.
|
| [7] |
周政达, 张蕊, 高升华, 等. 模拟氮沉降对长江滩地杨树林土壤呼吸温度敏感性的影响[J]. 生态学报, 2015, 35(21):6947-6956.
|
| [8] |
罗伶书, 杜盛. 降雨梯度对林地土壤呼吸温度敏感性影响研究进展[J]. 西北林学院学报, 2023, 38(2):76-83.
|
| [9] |
胡文沛, 张闯, 胡春胜, 等. 长期增温和施氮对华北平原农田土壤呼吸及其温度敏感性的影响[J]. 中国生态农业学报(中英文), 2022, 30(5):761-768.
|
| [10] |
沈健, 何宗明, 董强, 等. 不同处理方式下湿地松人工林土壤呼吸及温度敏感性变化[J]. 西北林学院学报, 2023, 38(5):10-18.
|
| [11] |
王少杰, 高鹏程, 林文, 等. 氮肥与秸秆还田对陕西关中灌区冬小麦农田CO2排放的影响[J]. 干旱地区农业研究, 2013, 31(1):117-121.
|
| [12] |
施林林, 柳开楼, 董林林. 太湖地区稻麦轮作系统有机氮肥替代率的演变特征及其影响因素[J]. 中国农学通报, 2024, 40(1):1-6.
doi: 10.11924/j.issn.1000-6850.casb2022-1032 |
| [13] |
李彩斌, 蒋寿安, 刘青丽, 等. 生物炭对烤烟根系特性和土壤CO2排放的影响[J]. 山西农业科学, 2022, 50(8):1136-1142.
|
| [14] |
鲁琪飞, 叶协锋, 韩金, 等. 添加有机物料对豫中烟田土壤呼吸的影响[J]. 环境科学, 2022, 43(7):3825-3834.
|
| [15] |
韩会阁, 李俊营, 王孟孟, 等. 填闲作物对烤烟生长和温室气体排放的影响[J]. 中国烟草科学, 2024, 45(1):24-30.
|
| [16] |
doi: 10.1038/srep28230 |
| [17] |
竹万宽, 陈少雄,
|
| [18] |
徐睿, 姜春前, 白彦锋, 等. 杉木纯林和混交林土壤温室气体通量的差异[J]. 浙江农林大学学报, 2019, 36(2):307-317.
|
| [19] |
doi: 10.1007/s11104-008-9673-6 URL |
| [20] |
doi: 10.1007/s11104-018-3678-6 |
| [21] |
洪思思, 巩合德, 朱秀雯, 等. 西双版纳热带雨林土壤N2O和CO2排放对氮添加的响应[J]. 西部林业科学, 2023, 52(3):118-127.
|
| [22] |
张开乾, 郑立龙. 陇中半干旱地区地膜覆盖和补灌对玉米及土壤温湿度的影响[J]. 节水灌溉, 2016(2):51-54.
|
| [23] |
谢晋, 李谨成, 梁增发, 等. 垄高与有机肥施用比例对烤烟根系生长及上部烟叶质量的影响[J]. 作物杂志, 2024(2):165-171.
|
| [24] |
刘宇杰. 地布覆盖对起垄橘园土壤水分、温度及柑橘耗水的影响[D]. 武汉: 华中农业大学, 2022.
|
| [25] |
孙亚荣, 王亚娟, 赵敏, 等. 黄土丘陵区柠条人工林不同深度土壤呼吸速率对土壤温湿度的响应[J]. 环境科学, 2020, 43(10):4648-4657.
|
| [26] |
史敏莉, 罗为群, 吴泽燕, 等. 降雨对岩溶峰丛洼地不同地貌部位土壤水分及温度的影响研究[J]. 节水灌溉, 2023(7):1-9.
doi: 10.12396/jsgg.2022403 |
| [27] |
乌艺恒. 大兴安岭南段白桦蒸腾耗水和水分利用来源对干旱的响应[D]. 呼和浩特: 内蒙古农业大学, 2023.
|
| [28] |
胡传芳. 大田作物生长过程中不同灌溉方案对土壤水分的影响研究[J]. 当代农机, 2024(2):80-81.
|
| [29] |
熊浩, 张保成, 李建柱, 等. 灌水量对冬小麦农田土壤N2O与CO2排放的影响[J]. 灌溉排水学报, 2020, 39(9):41-50.
|
| [30] |
赵晨云, 王家琪, 赵志平, 等. 土壤水分含量对旱稻根系和土壤呼吸速率的影响[J]. 中国稻米, 2024, 30(3):26-31.
doi: 10.3969/j.issn.1006-8082.2024.03.004 |
| [31] |
黄永梅, 杨智杰, 郭剑芬, 等. 隔离降雨对杉木林土壤可溶性有机碳和微生物生物量碳的影响[J]. 亚热带资源与环境学报, 2014, 9(1):38-45.
|
| [32] |
高红, 王小红, 吴东梅, 等. 碳氮有效性对亚热带人工林土壤微生物呼吸及其代谢响应的影响[J]. 应用生态学报, 2024, 35(8):2025-2034.
doi: 10.13287/j.1001-9332.202408.008 |
| [33] |
李旭, 付鑫, 杨晓楠, 等. 麦玉轮作长期秸秆还田下土壤呼吸及有机碳库对温度变化的响应[J]. 河北农业大学学报, 2024, 47(2):9-16.
doi: 10.13320/j.cnki.jauh.2024.0017 |
| [1] | LI Laping, LI Xiaozhen, YANG Shuhua, YUE Xinli, SUN Mengxia, YANG Chuncang. Study on Effect of Weed-control Cloth on Growth, Development and Yield of Datong Daylily [J]. Chinese Agricultural Science Bulletin, 2025, 41(7): 107-114. |
| [2] | MA Ling, ZHANG Yiyang, LI Yajiao, MA Siyan, WANG Jing, MA Yan, WU Longguo. Research on Soil Water Content Detection Based on Hyperspectral Imaging Technology [J]. Chinese Agricultural Science Bulletin, 2025, 41(5): 157-164. |
| [3] | CHEN Fei, ZHAO Hong, WANG Heling, YANG Yang, WANG Runyuan, ZHANG Kai, ZHAO Funian, QI Yue, TANG Yurui, WEI Xingxing. Response Characteristics of Drought Stress and Its Physiological Regulatory Mechanisms in Spring Wheat Developmental Stages [J]. Chinese Agricultural Science Bulletin, 2025, 41(33): 14-23. |
| [4] | WANG Peng, XUE Ruizhe, HAN Xia, XU Weizhou, CHEN Shujun, TIAN Xianglin. Effects of Rainfall on Dynamic Characteristics of Soil Moisture in Artificial Forests in Loess Stone Mountain Area of Northern Shaanxi [J]. Chinese Agricultural Science Bulletin, 2025, 41(31): 79-87. |
| [5] | LUO Dan, YANG Jian, MA Hui, ABUDUAINI Abuduweili, ZHOU Lun, TANG Qiuxiang, OU Huan, LI Xingxing, AIMAIERJIANG Abulitifu, LI Jinhong, FU Yongqiang, AZIGULI Abulizi. Study on Regulation of Emergence Water of ‘Dry Sowing and Wet Emergence’ in Cotton Field of Southern Xinjiang Based on Different Soil Water Content in Sandy Soil [J]. Chinese Agricultural Science Bulletin, 2025, 41(30): 34-45. |
| [6] | LIU Qingchao, GUO Yuefeng, QI Wei, SU Wanfa. Effects of Different Stumping Treatments on Ecological Physiology and Soil Moisture Content of Underground Part of Salix psammophila [J]. Chinese Agricultural Science Bulletin, 2025, 41(3): 69-75. |
| [7] | YANG Tingting, TIAN Xiaoqin, LI Zhuo, LIU Yonghong, LI Haojie. Analysis of Soil Respiration Characteristics in Rape Field of Dry Slope Land Under Different Soil Fertility Conditions [J]. Chinese Agricultural Science Bulletin, 2025, 41(13): 89-96. |
| [8] | TIAN Xiaoqin, LI Zhuo, LIU Yonghong. Effects of Combined Application of Biochar and Urea on Soil Nutrient, Respiration and Rape Yield in Dryland Purple Soil [J]. Chinese Agricultural Science Bulletin, 2025, 41(13): 13-18. |
| [9] | LI Xingxing, ABUDUAINI Abuduweili, ZHOU Lun, MA Hui, OU Huan, AIMAIERJIANG Abulitifu, TIAN Liwen, LIU Yan, LUO Dan, AZIGULI Abulizi. Study on Control of Emergence Water in Cotton Field of ‘Dry Sowing and Wet Emergence’ in Southern Xinjiang Based on Soil Moisture Content of Loam Soil [J]. Chinese Agricultural Science Bulletin, 2025, 41(1): 25-32. |
| [10] | YANG Qingnan, GAO Shijun, ZHANG Hepu, XU Jinzhong. Effects of Straw Mulching on the Soil Moisture and Temperature [J]. Chinese Agricultural Science Bulletin, 2024, 40(8): 80-85. |
| [11] | XIAO Heyou, LIU Congcong, LIU Namei, MA Guanhua, HE Xiangchun, LIU Rong, ZHANG Cixi, YU Qingtao, YAO Tingshan. Species Analysis and Control of Weeds in Tobacco Field in Shaoyang City [J]. Chinese Agricultural Science Bulletin, 2024, 40(6): 152-156. |
| [12] | GONG Hengrui, ZHENG Yuping, MIAO Yunling. The Distribution Characteristics of Soil Temperature at Different Altitudes in Northern Slope Fault Zone of the Middle Tianshan Mountain in Xinjiang [J]. Chinese Agricultural Science Bulletin, 2024, 40(6): 84-90. |
| [13] | LI Jianping, REN Jingquan, MA Yanmin, WANG Dongni, CAO Tiehua, YANG Huibing, CHEN Changsheng. Effects of Low Temperature and Low Soil Moisture on Maize Germination [J]. Chinese Agricultural Science Bulletin, 2024, 40(5): 9-15. |
| [14] | CAI Zhe, DUAN Licheng, GUO Ruige, LIU Dongmei. Characteristics of Soil Temperature Variation in Jiangxi Province and Its Relationship with Meteorological Elements [J]. Chinese Agricultural Science Bulletin, 2024, 40(4): 118-125. |
| [15] | WU Yingjie, ZHU Yongchao, KONG Xiangning. Soil Moisture Inversion in Farmland Based on Landsat-8 Imagery [J]. Chinese Agricultural Science Bulletin, 2024, 40(32): 129-134. |
| Viewed | ||||||
|
Full text |
|
|||||
|
Abstract |
|
|||||