
Chinese Agricultural Science Bulletin ›› 2025, Vol. 41 ›› Issue (32): 46-53.doi: 10.11924/j.issn.1000-6850.casb2025-0222
Previous Articles Next Articles
WU Jialong1(
), HUANG Yayun2, LIANG Chunmei1, RUAN Yanzhu3, XU Changchao1(
)
Received:2025-03-20
Revised:2025-08-20
Online:2025-11-15
Published:2025-11-18
WU Jialong, HUANG Yayun, LIANG Chunmei, RUAN Yanzhu, XU Changchao. Effects of Replacing Partial Chemical Fertilizers with Agricultural and Forestry Waste Compost Leachate on Growth of Garden Seedlings and Soil Nutrients[J]. Chinese Agricultural Science Bulletin, 2025, 41(32): 46-53.
Add to citation manager EndNote|Ris|BibTeX
URL: https://www.casb.org.cn/EN/10.11924/j.issn.1000-6850.casb2025-0222
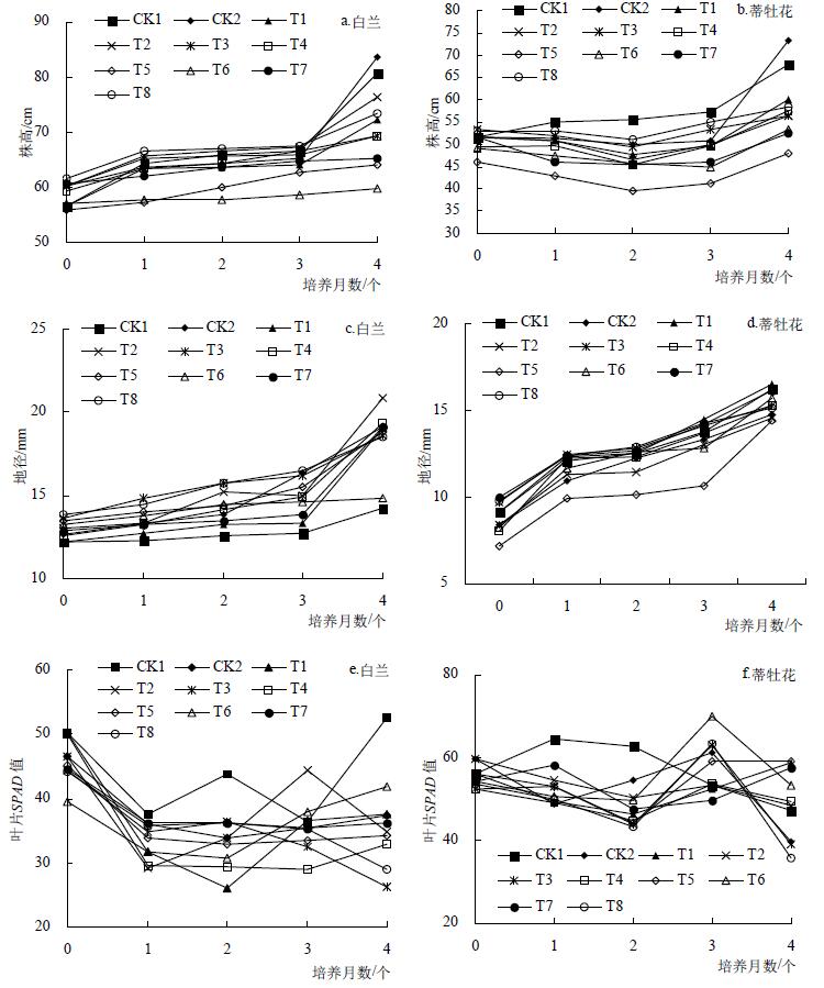
| 编号 | 处理 | 施用方式 |
|---|---|---|
| CK1 | 常规施肥 | 撒施复合肥,每月5 g/盆(按月添加) |
| CK2 | 1/2常规施肥 | 撒施复合肥,每月2.5 g/盆(按月添加) |
| T1 | 100%ECL+1/2常规施肥 | 灌施,每月100 mL/盆 |
| T2 | 75%ECL+1/2常规施肥 | |
| T3 | 50%ECL+1/2常规施肥 | |
| T4 | 25%ECL+1/2常规施肥 | |
| T5 | 100%WCL+1/2常规施肥 | |
| T6 | 75%WCL+1/2常规施肥 | |
| T7 | 50%WCL+1/2常规施肥 | |
| T8 | 25%WCL+1/2常规施肥 |
| 编号 | 处理 | 施用方式 |
|---|---|---|
| CK1 | 常规施肥 | 撒施复合肥,每月5 g/盆(按月添加) |
| CK2 | 1/2常规施肥 | 撒施复合肥,每月2.5 g/盆(按月添加) |
| T1 | 100%ECL+1/2常规施肥 | 灌施,每月100 mL/盆 |
| T2 | 75%ECL+1/2常规施肥 | |
| T3 | 50%ECL+1/2常规施肥 | |
| T4 | 25%ECL+1/2常规施肥 | |
| T5 | 100%WCL+1/2常规施肥 | |
| T6 | 75%WCL+1/2常规施肥 | |
| T7 | 50%WCL+1/2常规施肥 | |
| T8 | 25%WCL+1/2常规施肥 |
| [1] |
|
| [2] |
覃奎, 李承东, 马道承, 等. 氮磷钾配比施肥对中国无忧花幼苗生长及光合特性的影响[J]. 江西农业学报, 2022, 34(2):115-121.
|
| [3] |
张池, 周波, 吴家龙, 等. 蚯蚓在我国南方土壤修复中的应用[J]. 生物多样性, 2018, 26(10):1091-1102.
doi: 10.17520/biods.2018151 |
| [4] |
徐大兵, 田亨达, 张丽, 等. 用于液体肥料的堆肥浸提液提取工艺参数[J]. 植物营养与肥料学报, 2009, 15(5):1189-1195.
|
| [5] |
|
| [6] |
吴家龙, 吴灿林, 张俊涛. 不同施肥处理对园林苗木的促生效应[J]. 林业与环境科学, 2024, 40(5):106-112.
|
| [7] |
吴家龙, 张俊涛. 园林绿色废弃物资源价值实现的系统认知与路径探析——以广州市为例[J]. 中国园林, 2024, 40(8):57-63.
|
| [8] |
刘国梁, 吴伟, 李素艳, 等. 园林绿化废弃物堆肥配施化肥对土壤腐殖质碳组分的影响[J]. 中国土壤与肥料, 2024(12):27-35.
|
| [9] |
|
| [10] |
鲍士旦. 土壤农化分析[M]. 北京: 中国农业出版社,2003:25-114.
|
| [11] |
王明怀, 崔芳科, 吴泽鹏, 等. 森林火烧迹地林下植物多样性与土壤理化性质变化格局[J]. 林业与环境科学, 2024, 40(4):1-8.
|
| [12] |
许海波, 苏杨, 张俊涛, 等. 不同栽培基质对大花荣耀木生长的影响[J]. 林业与环境科学, 2023, 39(3):97-105.
|
| [13] |
|
| [14] |
费聪. 有机肥替代部分化肥氮对晋西南旱区玉米根系生长及其生理活性的影响[J]. 中国土壤与肥料, 2024(9):94-103.
|
| [15] |
常健玮, 刘国群, 颜雯婷, 等. 不同有机肥替代比例对橘园土壤及果实品质影响研究[J]. 中国土壤与肥料, 2024(5):78-88.
|
| [16] |
汪自松, 秦玉秀, 沈伟, 等. 化肥减量配施有机肥对樱桃番茄土壤生物学特性及产量、品质的影响[J]. 中国土壤与肥料, 2024(2):58-64.
|
| [17] |
|
| [18] |
|
| [19] |
苏杨, 张俊涛, 李铤, 等. 4种改良材料对城市绿地酸性土壤的改良效果[J]. 林业与环境科学, 2021, 37(4):62-68.
|
| [20] |
潘松, 赵玉梅, 袁峰均, 等. 园林废弃物地表覆盖对龙船花生长发育的影响[J]. 热带作物学报, 2023, 44(4):766-773.
doi: 10.3969/j.issn.1000-2561.2023.04.013 |
| [21] |
杜田甜, 孙向阳, 李素艳, 等. 园林绿化废弃物覆盖对城市绿地土壤肥力影响[J]. 北京林业大学学报, 2021, 43(10):110-117.
|
| [22] |
|
| [23] |
|
| [24] |
苏杨, 冼卓慧, 张俊涛. 铁改性生物炭制备及其对磷的吸附和有效性[J]. 植物营养与肥料学报, 2024, 30(9):1782-1793.
|
| [25] |
doi: 10.3390/su15065038 URL |
| [26] |
广州市林业和园林科学研究院.DB4401/T 36,园林种植土[S]. 广州,2019:3.
|
| [27] |
张俊涛, 陈莹, 叶少萍. 园林绿化废弃物堆肥资源化技术探讨[J]. 园林, 2012(2):18-21.
|
| [1] | LIU Xiangrong, TANG Yun, ZHU Wei, XIAO Zhixiang, HE Liwei, NING Zhuo, WANG Hexin, DING Chunxia. Nutrient Abundance and Comprehensive Fertility Evaluation of Tobacco Planting Soil in Shaoyang [J]. Chinese Agricultural Science Bulletin, 2025, 41(30): 113-121. |
| [2] | ZHANG Jian, ZHOU Ling. Research on Status of Cotton Straw Crushing and Decomposition in Xinjiang Region [J]. Chinese Agricultural Science Bulletin, 2025, 41(3): 48-58. |
| [3] | CHENG Wen, DING Rongrong, ZHANG Limin, WANG Guoping, WANG Haijuan. Analysis on Soil Nutrient Content Characteristics of Continuous High Yield Cotton Fields in 7th Division Reclamation Area [J]. Chinese Agricultural Science Bulletin, 2025, 41(27): 94-98. |
| [4] | ZHOU Xiaofeng, LI Jiaqi, ZHANG Lijun, LIN Haidong, LIN Xiaoxing, LI Xiang, YANG Xiping, HU Yajie. Effects of Magnesium Fertilization on Calcium and Magnesium Nutrients and Softness of Flue-cured Tobacco in Jingxi [J]. Chinese Agricultural Science Bulletin, 2025, 41(27): 36-43. |
| [5] | TENZIN Tarchen, TUDENG Qunpei, CI Zhen, YIXI Yangzong, NIMA Cangjue, SANG Dan, DORJEEH Tondrob. Effects of Plantation Duration on Soil Nutrient Level and Microbial Community Characteristics of Alfalfa Artificial Grassland in Xizang River Valley Region [J]. Chinese Agricultural Science Bulletin, 2025, 41(24): 69-78. |
| [6] | TIAN Xiaoqin, LI Zhuo, LIU Yonghong. Effects of Combined Application of Biochar and Urea on Soil Nutrient, Respiration and Rape Yield in Dryland Purple Soil [J]. Chinese Agricultural Science Bulletin, 2025, 41(13): 13-18. |
| [7] | ZHANG Guangdong, SHANG Zhiwei, ZHAO Mengdi, YANG Chunhua, WANG Ting, RUAN Haiming, ZHANG Xuefeng, ZHOU Fangfang. Analysis of Spatial Distribution Characteristics of Soil pH and Its Potential Regulatory Factorsin in Tobacco Planting Areas of Shiping County [J]. Chinese Agricultural Science Bulletin, 2025, 41(12): 80-87. |
| [8] | QIN Xinke, LI Qi, LI Yuhang, ZHANG Huiyuan, HE Changlong, HUANG Xinrui, ZHANG Weizhen, LEI Ningfei, PEI Xiangjun. Impact of “Moss-Algae-SJP” on Restoration of Biological Soil Crusts in Sandy Land [J]. Chinese Agricultural Science Bulletin, 2025, 41(11): 64-73. |
| [9] | YANG Han, HUANG Zhimou, QU Heping, CHAI Shasha, LI Yuwei, ZHAO Qingchun, QIN Xiaoyin. Effects of Optimal Fertilization on Yield, Nutrient Utilization and Soil Fertility of Edible Sweet Potato [J]. Chinese Agricultural Science Bulletin, 2024, 40(8): 63-67. |
| [10] | ZHANG Tianci, LI Sixuan, CHEN Yanyun. Effects of Smash Ridging Tillage on Soil Nutrients and Growth of Astragalus Membranaceus [J]. Chinese Agricultural Science Bulletin, 2024, 40(35): 43-48. |
| [11] | SHANG Xiaolan, XU Zhu, ZHANG Haijuan, ZHANG Mingkui. Effects of Biogas Slurry Irrigation on Accumulation and Leaching of Soil Carbon, Nitrogen and Phosphorus in Low Hilly Orchards in Southern China [J]. Chinese Agricultural Science Bulletin, 2024, 40(29): 52-58. |
| [12] | ZHUO Lifang, HUANG Jichuan, LI Zhuxian, LIANG Jianyi, ZHONG Wenliang, WEI Qiufang, TU Yuting. Effects of Organic Carbon Source Additives on Growth of Tomato Seedlings and Physicochemical Properties of Rhizosphere Soil Under Phenolic Acid Stress [J]. Chinese Agricultural Science Bulletin, 2024, 40(28): 102-111. |
| [13] | LI Shimeng, YUAN Yuting, NAN Zhiqiang, WANG Jinxiong. Impact of Straw Returning Combined with Fertilizer Application on Soil Nutrients and Agronomic Traits and Yield of Highland Barley [J]. Chinese Agricultural Science Bulletin, 2024, 40(27): 90-96. |
| [14] | MA Xiao, LV Weiguang, CAI Wenqian, YU Ting, ZHANG Yue, ZHANG Haiyun, TANG Yonghua, DONG Yuexia, ZHANG Hanlin. Effects of Different Winter Green Manure Crops on Paddy Soil Nutrients, Enzyme Activity and Microbial Communities [J]. Chinese Agricultural Science Bulletin, 2024, 40(26): 46-52. |
| [15] | YANG Yan, ZHAO Weijin, XIE Yiyan, MA Junjie, PENG Ren, YANG Dehai, ZHENG Shifang, SUN Yonghua, LI Xiaoting, LI Xiancai. Characteristics and Correlations of Chemical Components and Sensory Quality of Tobacco ‘KRK26’ and Soil Nutrients of Tobacco-growing Area in Dali [J]. Chinese Agricultural Science Bulletin, 2024, 40(25): 132-139. |
| Viewed | ||||||
|
Full text |
|
|||||
|
Abstract |
|
|||||