Welcome to Chinese Agricultural Science Bulletin,

Chinese Agricultural Science Bulletin ›› 2025, Vol. 41 ›› Issue (35): 1-8.doi: 10.11924/j.issn.1000-6850.casb2025-0762

    Next Articles

Effects of Combined Application of Microbial Agents and Seaweed Fertilizer on Tobacco Leaf Quality and Phyllosphere Microorganisms

CHEN Li1(), FAN Caiyin2, SU Liang3, HU Yajun4, ZHANG Deyong5,6, ZHU Chunhui6,7, FENG Weiping1, ZHOU Jindong1, CHENG Ju’e6,7, DU Xiaohua6,7, SUN Shu’e6,7()   

  1. 1 Hengyang Branch of Hunan Tobacco Company, Hengyang, Hunan 421000
    2 Changning Branch of Hengyang Tobacco Company, Hunan Tobacco Company, Changning, Hunan 421500
    3 Jilin Tobacco Industry Co., Ltd. Yanji, Jilin 133000
    4 College of Agronomy, Hunan Agricultural University, Changsha 410128
    5 Hunan Academy of Agricultural Sciences, Changsha 410125
    6 Yuelushan Laboratory, Changsha 410128
    7 Hunan Institute of Plant Protection, Hunan Academy of Agricultural Sciences, Changsha 410125
  • Received:2025-09-08 Revised:2025-11-17 Online:2025-12-11 Published:2025-12-11

Abstract:

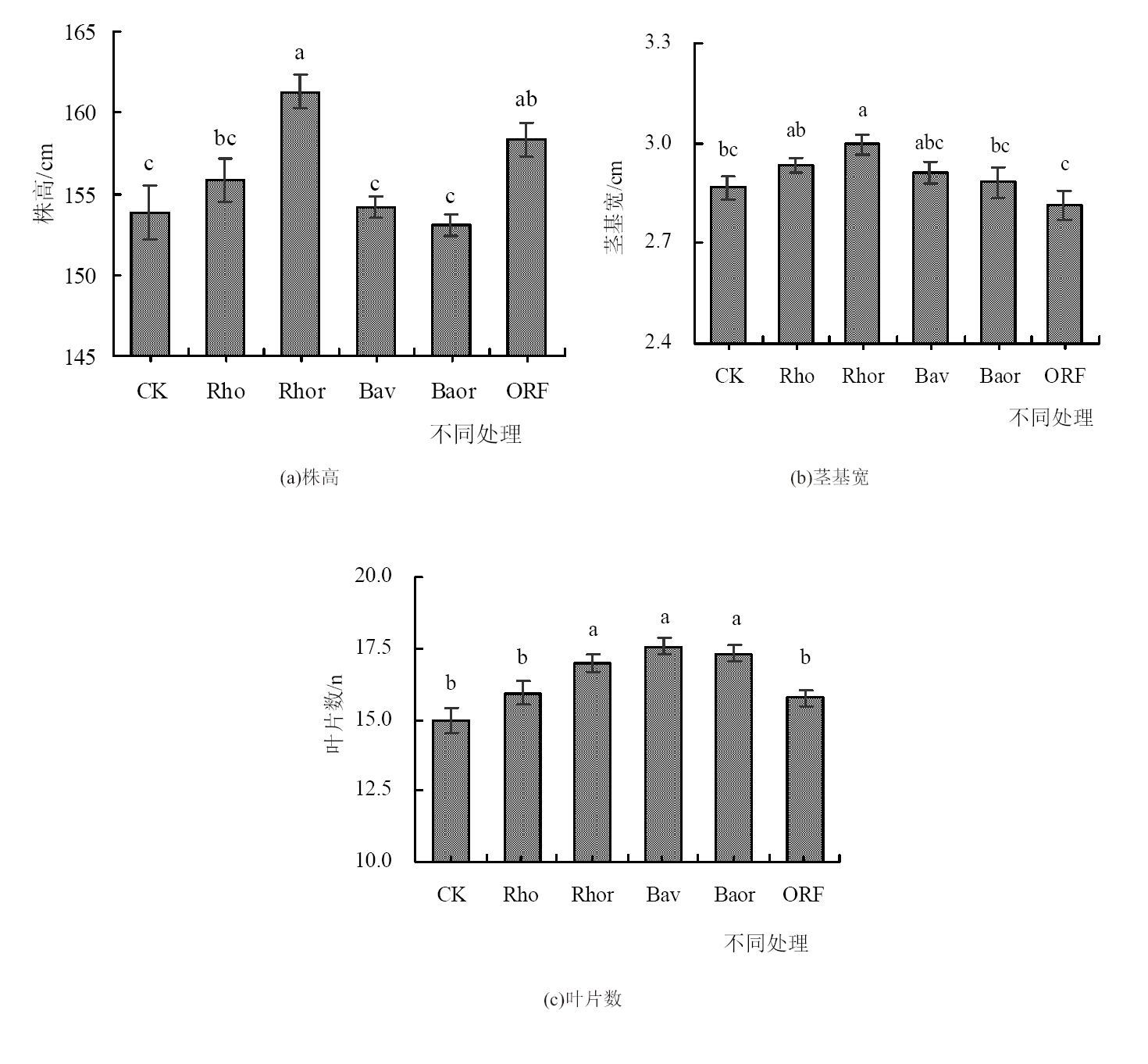
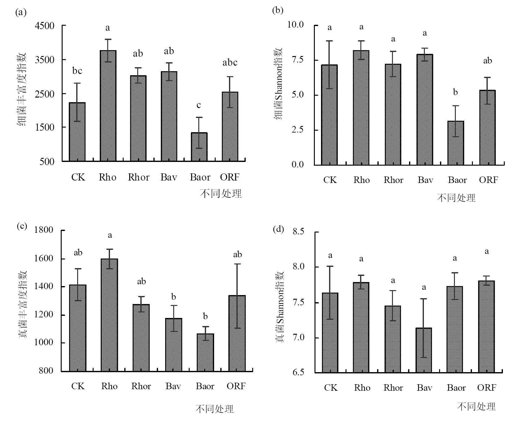
To study the effects of combined application of Rhodopseudomonas palustris, Bacillus velezensis, and seaweed-derived organic water-soluble fertilizer on tobacco leaf quality and phyllosphere microbial ecology, a field plot experiment was conducted with 6 treatments: 5×109 cfu/mL Rhodopseudomonas palustris GJ-22 diluted 300× (treatment 1, Rho); 5×109 cfu/mL R. palustris GJ-22 (300×)+150 g/L seaweed organic water-soluble fertilizer (1000×) (treatment 2, Rhor); 5×109 cfu/mL B. velezensis (300×) (treatment 3, Bav); 5×109 cfu/mL B. velezensis (300×)+150 g/L seaweed fertilizer (1000×) (treatment 4, Baor); 150 g/L seaweed fertilizer (1000×) (treatment 5, ORF); blank control (treatment 6, CK). Agronomic traits and main chemical components of tobacco were measured, and changes in the phyllosphere microbial community structure were analyzed. The results showed that treatment 2 significantly promoted the growth of flue-cured tobacco, increased the relative proportion of C3F and C4F grades, and markedly improved the leaf quality; treatment 1 significantly increased total sugar content in leaves; treatment 2 and 4 significantly increased the relative abundance of Gammaproteobacteria while reducing that of Bacteroidia in the phyllosphere; treatment 1 tended to increase the bacterial and fungal diversity in the phyllosphere, but its combination with organic water-soluble fertilizer did not significantly affect microbial diversity; treatment 3 had no significant effect on the bacterial diversity but significantly reduced fungal diversity; compared with treatment 5, it also significantly reduced the bacterial diversity in the phyllosphere. These findings provide a theoretical basis for the field application of microbial agents and organic water-soluble fertilizers.

Key words: Rhodopseudomonas palustris, Bacillus velezensis, seaweed organic fertilizer, tobacco quality, phyllosphere microorganisms