欢迎访问《中国农学通报》,

中国农学通报 ›› 2026, Vol. 42 ›› Issue (5): 12-20.doi: 10.11924/j.issn.1000-6850.casb2025-0335

• 农学·农业基础科学 • 上一篇    下一篇

洱海流域周年油菜薹高产优质品种筛选

薛家慧1(), 张顺涛1(), 汪江涛1,2, 王云珍3, 张博凯1, 王睿4, 丛汶峰1()   

  1. 1 中国农业大学资源与环境学院国家农业绿色发展研究院,养分资源高效利用全国重点实验室, 北京 100193
    2 河南科技大学农学院, 河南洛阳 471000
    3 云南农业大学, 昆明 650201
    4 云南大学, 昆明 650091
  • 收稿日期:2025-04-26 修回日期:2025-08-15 出版日期:2026-03-18 发布日期:2026-03-18
  • 通讯作者:
    张顺涛,男,1995年出生,博士后,研究方向:作物养分管理与土壤培肥。通信地址:100193 北京市海淀区圆明园西路2号 中国农业大学西校区,E-mail:
    丛汶峰,男,1983年出生,教授,博士生导师,研究方向:养分管理与绿色种植。通信地址:100193 北京市海淀区圆明园西路2号 中国农业大学西校区,E-mail:
  • 作者简介:

    薛家慧,女,2000年出生,硕士研究生,研究方向:农艺措施优化及氮素调控。通信地址:100193 北京市海淀区圆明园西路2号 中国农业大学西校区,E-mail:

  • 基金资助:
    云南省重大科技专项“洱海流域农业高质量发展与面源污染防控协同的创新模式构建与示范”(202202AE090034); 云南省新型研发机构培育对象洱海流域农业绿色发展研究院(202304BQ040005); 云南省张福锁院士工作站(202305AF150055)

Selection of Year-round High-yield and High-quality Varieties of Rapeseed Flowering Stalk in Erhai Lake Basin

XUE Jiahui1(), ZHANG Shuntao1(), WANG Jiangtao1,2, WANG Yunzhen3, ZHANG Bokai1, WANG Rui4, CONG Wenfeng1()   

  1. 1 National Key Laboratory of Nutrient Resource Efficient Utilization/ National Academy of Green Agricultural Development/ College of Resources and Environment, China Agricultural University, Beijing 100193
    2 College of Agriculture, Henan University of Science and Technology, Luoyang, Henan 471000
    3 Yunnan Agricultural University, , Kunming 650201
    4 Yunnan University, , Kunming 650091
  • Received:2025-04-26 Revised:2025-08-15 Published:2026-03-18 Online:2026-03-18

摘要:

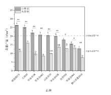
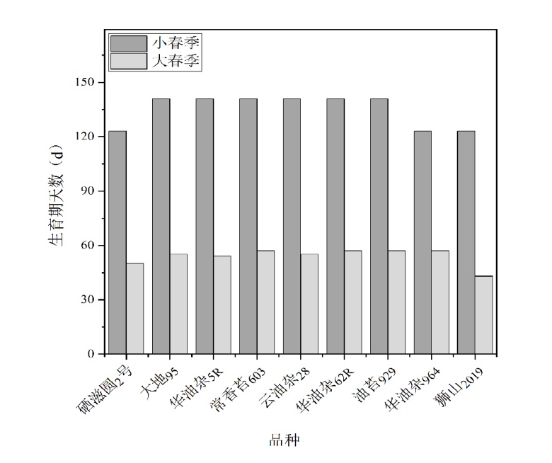
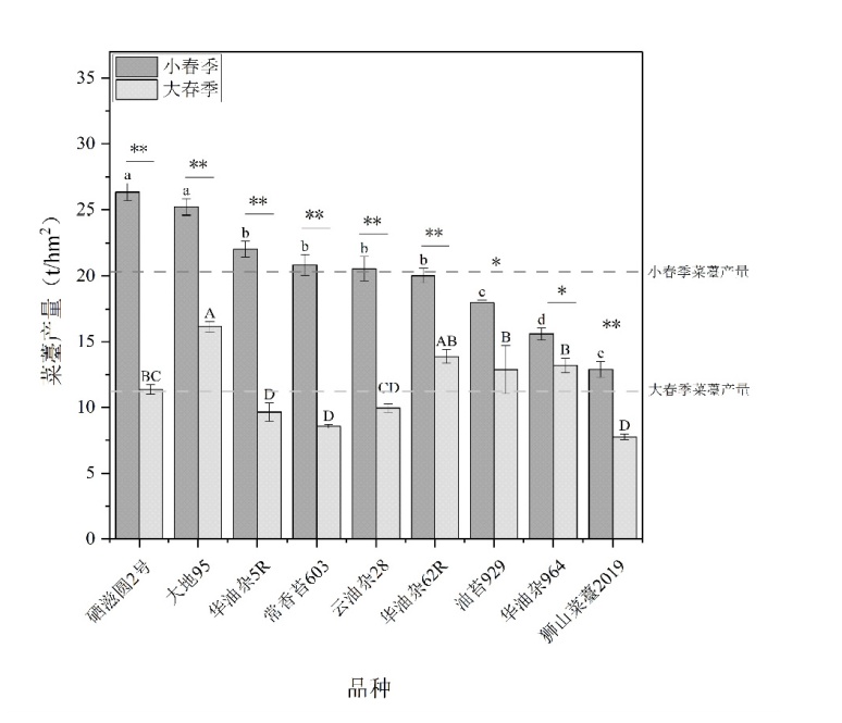
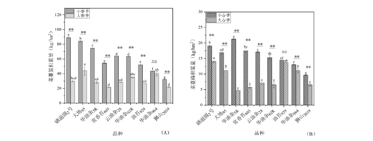
针对洱海流域农业绿色转型中高值作物种植模式缺乏的问题,为筛选适宜周年种植的优质高产菜用油菜品种,以9个双低甘蓝型油菜品种为供试材料,分别在小春季(2022年11月5日)和大春季(2023年7月1日)开展田间试验,收集并分析其生育期、产量、农艺性状、养分积累及经济效益等指标。结果表明:(1)不同移栽期种植油菜的生育期存在明显差异,相同品种在小春季种植的生育期(123~141 d)比大春季(43~57 d)显著延长66~98 d;(2)小春季菜薹产量(平均20.2 t/hm2)普遍高于大春季(平均 11.5 t/hm2),其中小春季‘硒滋圆2号’(26.3 t/hm2)和‘大地95’(25.2 t/hm2)产量最高,大春季‘大地95’(16.1 t/hm2)产量最高。大春季和小春季产量主要贡献因子分别为叶片数和单薹重;(3)小春季菜薹的单薹重、薹长、薹粗、叶片数等农艺性状均优于大春季,小春季产量主导因子为单薹重(贡献率43.38%),大春季为叶片数(贡献率41.29%);(4)小春季氮、磷积累量显著高于大春季,‘硒滋圆2号’和‘大地95’表现突出,大春季以‘大地95’最佳;(5)经济效益与产量趋势一致,小春季各品种产值均高于大春季,‘大地95’(周年产值27.9万元/hm2)和‘硒滋圆2号’周年产值最高,显著高于其他品种。综合分析表明,洱海流域可以实现油菜薹周年种植,小春季菜薹产量与品质均优于大春季大春季,‘硒滋圆2号’和‘大地95’适宜作为周年推广品种。未来可结合内在品质、抗病性及田间管理优化,进一步完善周年种植技术体系,提升区域农业经济效益与生态效益。

关键词: 洱海流域, 油菜薹品种, 产量, 养分吸收, 外观品质, 经济效益

Abstract:

This study aims to explore the year-round high-value cropping model in the Erhai Basin and to screen high-yielding vegetable-use rapeseed cultivars suitable for year-round cultivation, thereby providing support for the development of regional green and high-value agriculture. Nine double-low Brassica napus cultivars were used as experimental materials, and field trials were conducted in the small-spring season (November 5, 2022) and the large-spring season (July 1, 2023). Data on growth period, yield, quality, and nutrient accumulation were collected and analyzed. The results showed that the growth period of vegetable-use rapeseed differed significantly between seasons, with the small-spring season being 66-98 days longer than the large-spring season. The yield of rapeseed flowering stalk was generally higher in the small-spring season than in the large-spring season, with ‘Xiziyuan No.2’ (26.3 t/hm2) and ‘Dadi 95’ (25.2 t/hm2) having the highest yields in the small-spring season, while ‘Dadi 95’ (16.1 t/hm2) had the highest yield in the large-spring season. The main yield-contributing factors were leaf number (41.29%) in the large-spring season and single-stalk weight (43.38%) in the small-spring season. Agronomic traits such as single-stalk weight, stalk length, stalk diameter, and leaf number were all superior in the small-spring season compared with the large-spring season. The grading results of rapeseed flowering stalks showed that the proportion of first-grade stalks was consistent with the yield performance. Nitrogen and phosphorus accumulation were significantly higher in the small-spring season than in the large-spring season, with the superior cultivars being ‘Xiziyuan No.2’ and ‘Dadi 95’, while ‘Dadi 95’ performed best in the large-spring season. Comprehensive analysis indicated that year-round cultivation of vegetable-use rapeseed can be achieved in the Erhai Basin, with higher yield and quality in the small-spring season compared with the large-spring season. ‘Xiziyuan No.2’ and ‘Dadi 95’ showed outstanding performance and are suitable for annual promotion, providing technical support for the development of local green and high-value agriculture.

Key words: Erhai Lake basin, vegetable-use rapeseed variety, yield, nutrient uptake, appearance quality, economic performance